精英家教网 > 高中数学 > 题目详情

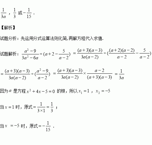
先化简,再求值:,其中是方程的根.

练习册系列答案
相关习题

科目:高中数学 来源:2017届宁夏高三上学期月考一数学(文)试卷(解析版) 题型:解答题

已知函数的图象过点,且在点处的切线方程

(1)求函数的解析式;

(2)求函数的图像有三个交点,求的取值范围.

查看答案和解析>>

科目:高中数学 来源:2017届河南濮阳第一高级中学高三上学期检测二数学(文)试卷(解析版) 题型:解答题

已知函数,且.

(1)求函数的极值;

(2)当时,证明:.

查看答案和解析>>

科目:高中数学 来源:2017届河南濮阳第一高级中学高三上学期检测二数学(文)试卷(解析版) 题型:选择题

已知的导函数,且,则实数的值为( )

A. B. C. D.1

查看答案和解析>>

科目:高中数学 来源:2016-2017贵州遵义航天高级中学高一上入学考试数学卷(解析版) 题型:解答题

如图,在⊙O中,点P为直径BA延长线上一点,直线PD切⊙O于点D,过点B作BH⊥PD,垂足为H,BH交⊙O于点C,连接BD.

(1)求证:BD平分∠ABH;

(2)如果AB=10,BC=6,求BD的长;

(3)在(2)的条件下,当E是弧AB的中点,DE交AB于点F,求DE·DF的值.

查看答案和解析>>

科目:高中数学 来源:2016-2017贵州遵义航天高级中学高一上入学考试数学卷(解析版) 题型:填空题

如图,△ABC的三个顶点都在5×5的网格(每个小正方形的边长均为1个单位长度)的格点上,将△ABC绕点B逆时针旋转到△A′BC′的位置,且点A′、C′仍落在格点上,则图中阴影部分的面积是

查看答案和解析>>

科目:高中数学 来源:2016-2017贵州遵义航天高级中学高一上入学考试数学卷(解析版) 题型:选择题

如图,AB是⊙O的直径,C,D为圆上两点,∠AOC=130°,则∠D等于( )

A.25° B.30° C.35° D.50°

查看答案和解析>>

科目:高中数学 来源:2015-2016学年山西省高一下期末考试数学卷(解析版) 题型:选择题

已知M是△ABC内的一点,且,∠BAC=30°,若△MBC,△MCA和△MAB的面积分别为1,x,y,则 的最小值是( )

A.20 B.18 C.16 D.9

查看答案和解析>>

科目:高中数学 来源:2015-2016新疆哈密地区二中高二下期末考试文科数学卷(解析版) 题型:填空题

已知向量,则 .

查看答案和解析>>

同步练习册答案