精英家教网 > 高中数学 > 题目详情
点(1,-1)到直线x-y+1=0的距离是( )
A.
B.
C.
D.
【答案】分析:应用到直线的距离公式直接求解即可.
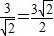
解答:解:点(1,-1)到直线x-y+1=0的距离是:=
故选D.
点评:本题考查点到直线的距离公式,是基础题.
练习册系列答案
相关习题

科目:高中数学 来源: 题型:

已知直线l经过直线x-y=0与x+y-2=0的交点.
(1)若点(-1,0)到直线l的距离是2,求直线l的方程.
(2)求点(-1,0)到直线l的距离最大时的直线l的方程.

查看答案和解析>>

科目:高中数学 来源: 题型:

点(1,1)到直线ax+y-3=0的最大距离为(  )
A、1
B、2
C、
5
D、
6

查看答案和解析>>

科目:高中数学 来源: 题型:

若0≤θ≤
π
2
,当点(1,1)到直线xsinθ+ycosθ=0的距离是
2
时,这条直线的斜率为
1
1

查看答案和解析>>

科目:高中数学 来源: 题型:

若点(1,1)到直线xcosα+ysinα=2的距离为d,则d的最大值是
2+
2
2+
2

查看答案和解析>>

科目:高中数学 来源: 题型:

点(1,1)到直线x-y+4=0的距离是(  )

查看答案和解析>>

同步练习册答案