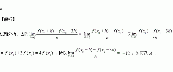
精英家教网 > 高中数学 > 题目详情

,则( )

A. B. C. D.

练习册系列答案
相关习题

科目:高中数学 来源:2015-2016学年云南省蒙自市高二10月月考理科数学试卷(解析版) 题型:选择题

设向量,,若向量平行,则

A. B. C. D.

查看答案和解析>>

科目:高中数学 来源:2015-2016学年山东省淄博市高一上学期期中考试数学试卷(解析版) 题型:填空题

已知=___ _____.

查看答案和解析>>

科目:高中数学 来源:2015-2016学年河南省高二12月考理科数学试卷(解析版) 题型:解答题

已知命题“存在”,命题:“曲线表示焦点在轴上的椭圆”,命题“曲线表示双曲线”.

(1)若“”是真命题,求的取值范围;

(2)若的必要不充分条件,求的取值范围.

查看答案和解析>>

科目:高中数学 来源:2015-2016学年福建三明一中高二上第二次月考理科数学卷(解析版) 题型:解答题

如图,在直三棱柱中,

(1)求证

(2)在上是否存在点使得

(3)在上是否存在点使得

查看答案和解析>>

科目:高中数学 来源:2016届重庆市高三12月月考理科数学试卷(解析版) 题型:选择题

已知椭圆和双曲线有公共焦点,则双曲线的渐近线方程是( )

A. B.

C. D.

查看答案和解析>>

科目:高中数学 来源:2015-2016学年内蒙古巴彦淖尔一中高二上期中文科数学卷(解析版) 题型:解答题

已知:“直线与圆相交”;:“方程的两根异号”.若为真,为真,求实数的取值范围.

查看答案和解析>>

科目:高中数学 来源:2016届上海市七校高三上12月联考理科数学试卷(解析版) 题型:解答题

(2015秋•上海月考)公差不为零的等差数列{an}中,a1、a2、a5成等比数列,且该数列的前10项和为100.

(1)求数列{an}的通项公式;

(2)若bn=an﹣10,求数列{bn}的前n项和Tn的最小值.

查看答案和解析>>

科目:高中数学 来源:2016届江苏省盐城市高三上12月月测数学试卷(解析版) 题型:填空题

(2009•广州模拟)已知实数x,y满足,则z=2x﹣y的最大值为

查看答案和解析>>

同步练习册答案