精英家教网 > 高中数学 > 题目详情
已知f(x)=ax-lnx,,A∈R.
(Ⅰ)当x∈(0,e]时,f(x)的最小值是3,求a的值;
(Ⅱ)记函数y=F(x)的图象为曲线C.设点A(x1,y1),B(x2,y2)是曲线C上的不同两点.如果在曲线C上存在点M(x,y),使得:①;②曲线C在点M处的切线平行于直线AB,则称函数F(x)存在“中值相依切线”.试问:函数G(x)=g(x)-f(x),是否存在“中值相依切线”,请说明理由.
【答案】分析:(I)先求导函数,讨论a,研究函数的单调性,求出函数f(x)的最小值,使最小值为3,可求出a的值;
(II)假设函数G(x)存在“中值相依切线”,根据曲线C在点M处的切线平行于直线AB建立等式关系,判定然后判定方程是否有解即可判定是否存在“中值相依切线”.
解答:解:(Ⅰ)f′(x)=a-=            …(1分)
①当a≤0时,因为x∈(0,e],所以f′(x)<0,所以f(x)在(0,e]上单调递减,
f(x)min=f(e)=ae-1=3,a=(舍去),
所以,此时f(x)无最小值.…(2分)
②当0<<e时,f(x)在(0,)上单调递减,在(,e]上单调递增,
f(x)min=f()=1+lna=3,a=e2,满足条件.…(4分)
③当≥e时,因为x∈(0,e],所以f′(x)<0,
所以f(x)在(0,e]上单调递减,f(x)min=f(e)=ae-1=3,a=(舍去),
所以,此时f(x)无最小值.…(5分)
综上可得:a=e2                                         …(6分)
(Ⅱ)假设函数G(x)存在“中值相依切线”.
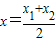
设A(x1,y1),B(x2,y2)是曲线y=G(x)上的不同两点,且0<x1<x2
由题意
则y1=lnx1-a+(a-1)x1,y2=lnx2-a+(a-1)x2
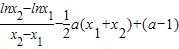
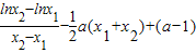
kAB==                …(7分)
曲线在点M(x,y)处的切线斜率
k=G′(x)=G′()=-a•+(a-1),…(8分)
依题意得:=-a•+(a-1).
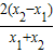
化简可得:=,…(9分)
即ln==.…(10分)
=t (t>1),上式化为:lnt==2-,即lnt+=2.…(11分)
令h(t)=lnt+,h′(t)=-=
因为t>1,显然h′(t)>0,所以h(t)在(1,+∞)上递增,显然有h(t)>2恒成立.
所以,在(1,+∞)内不存在t,使得lnt+=2成立.…(13分)
综上所述,假设不成立.
所以,函数G(x)不存在“中值相依切线”.…(14分)
点评:本题主要考查了利用导数研究曲线上某点切线方程,以及导数在最大值、最小值问题中的应用,同时考查了运算求解的能力,属于难题.
练习册系列答案
相关习题

科目:高中数学 来源: 题型:

已知f(x)=ax+a-x(a>0且a≠1),
(1)证明函数f ( x )的图象关于y轴对称;
(2)判断f(x)在(0,+∞)上的单调性,并用定义加以证明;
(3)当x∈[1,2]时函数f (x )的最大值为
103
,求此时a的值.

查看答案和解析>>

科目:高中数学 来源: 题型:

已知f(x)=ax+b(a>0且a≠1,b为常数)的图象经过点(1,1)且0<f(0)<1,记m=
1
2
[f-1(x1)+f-1(x2)]
n=f-1(
x1+x2
2
)
(x1、x2是两个不相等的正实数),试比较m、n的大小.

查看答案和解析>>

科目:高中数学 来源: 题型:

(1)已知f(x)=ax+a-x,若f(1)=3,,求f(2)的值.
(2)设函数f(x)=log3(ax-bx),且f(1)=1,f(2)=log312.求a,b的值.

查看答案和解析>>

科目:高中数学 来源: 题型:

已知f(x)=ax(a>1),g(x)=bx(b>1),当f(x1)=g(x2)=2时,有x1>x2,则a,b的大小关系是(  )

查看答案和解析>>

科目:高中数学 来源: 题型:

(2010•新疆模拟)已知f(x)=ax-lnx,x∈(0,e],g(x)=
lnx
x
,其中e是自然对数的底,a∈R.
(Ⅰ)a=1时,求f(x)的单调区间、极值;
(Ⅱ)是否存在实数a,使f(x)的最小值是3,若存在,求出a的值,若不存在,说明理由;
(Ⅲ)在(1)的条件下,求证:f(x)>g(x)+
1
2

查看答案和解析>>

同步练习册答案