精英家教网 > 高中数学 > 题目详情

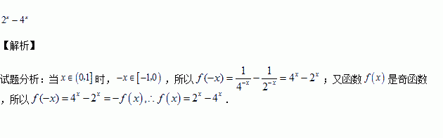
已知函数是奇函数.当时,,则当时,

练习册系列答案
相关习题

科目:高中数学 来源:2016届重庆市高三上学期第三次月考理科数学试卷(解析版) 题型:解答题

(本小题满分10分)选修4—4:坐标系与参数方程

在以坐标原点为极点,轴的正半轴为极轴建立的极坐标系中,曲线的极坐标方程为,正三角形的顶点都在上,且依逆时针次序排列,点的坐标为

(1)求点的直角坐标系;

(2)设是圆上的任意一点,求的取值范围.

查看答案和解析>>

科目:高中数学 来源:2016届黑龙江省牡丹江市高三上学期期中理科数学试卷(解析版) 题型:填空题

数列满足,其前项积为,则

查看答案和解析>>

科目:高中数学 来源:2015-2016学年江西南昌二中高二上学期期中文科数学试卷(解析版) 题型:解答题

(本小题满分12分)已知圆:,直线

(Ⅰ)判断直线与圆的位置关系。

(Ⅱ)若直线与圆交于不同两点,且=3,求直线的方程。

查看答案和解析>>

科目:高中数学 来源:2015-2016学年江西南昌二中高二上学期期中理科数学试卷(解析版) 题型:填空题

过圆上一点的切线方程:

查看答案和解析>>

科目:高中数学 来源:2015-2016学年吉林实验中学高二上学期期中文科数学试卷(解析版) 题型:解答题

(本小题12分)已知满足不等式组

求(1)的最大值;

(2)的最小值.

查看答案和解析>>

科目:高中数学 来源:2015-2016学年吉林实验中学高二上学期期中理科数学试卷(解析版) 题型:选择题

在三棱柱中,底面是正三角形,侧棱底面,点是侧面的中心,若,则直线与平面所成角的大小为

(A) (B) (C) (D)

查看答案和解析>>

科目:高中数学 来源:2015-2016学年广东省佛山市高一上学期期中数学试卷(解析版) 题型:选择题

已知函数t=-144 的图象可表示打字任务的“学习曲线”,其中t 表示达到打字水平N(字/min)所需的学习时间, N表示打字速度(字/min),则按此曲线要达到90字/min的水平,所需的学习时间是 ( )

A.144 B.90 C.60 D.40

查看答案和解析>>

科目:高中数学 来源:2016届山东省高三第二次诊断性考试理科数学试卷(解析版) 题型:解答题

(本小题满分12分)

已知命题方程上有解,命题只有一个实数满足不等式,若命题“”是假命题,求实数的取值范围.

查看答案和解析>>

同步练习册答案