精英家教网 > 高中数学 > 题目详情

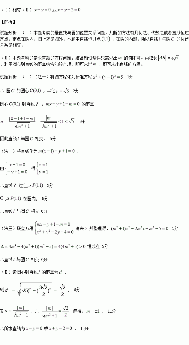
(本小题满分12分)已知圆:,直线

(Ⅰ)判断直线与圆的位置关系。

(Ⅱ)若直线与圆交于不同两点,且=3,求直线的方程。

练习册系列答案
相关习题

科目:高中数学 来源:2015-2016学年广东省普宁市高二上期中文科数学试卷(解析版) 题型:选择题

( )

A B. C. D.

查看答案和解析>>

科目:高中数学 来源:2016届辽宁省抚顺市高三上学期第一次模拟文科数学试卷(解析版) 题型:解答题

(本小题满分12分)某大学餐饮中心为了了解新生的饮食习惯,在全校一年级学生中进行了抽样调查,调 查结果如下表所示:

(Ⅰ)根据表中数据,问是否有95%的把握认为“南方学生和北方学生在选用甜品的饮食习惯方面有差异”;

(Ⅱ)已知在被调查的北方学生中有5名数学系的学生,其中2名喜欢甜品,现在从这5名学生中随机抽取3人,求至多有1人喜欢甜品的概率.

附:

查看答案和解析>>

科目:高中数学 来源:2016届贵州省贵阳市高三上学期第三次月考文科数学试卷(解析版) 题型:解答题

(本小题满分12分)已知函数

(Ⅰ)函数在点处的切线与直线平行,求函数的单调区间;

(Ⅱ)设函数的导函数为,对任意的,若恒成立,求的取值范围.

查看答案和解析>>

科目:高中数学 来源:2016届福建省高三上学期期中理科数学试卷(解析版) 题型:填空题

函数的图象向右平移个单位后,与函数的图象重合,则

查看答案和解析>>

科目:高中数学 来源:2015-2016学年江西南昌二中高二上学期期中理科数学试卷(解析版) 题型:解答题

(本小题满分12分)已知直线,双曲线

①若直线与双曲线的其中一条渐近线平行,求双曲线的离心率;②若直线过双曲线的右焦点,与双曲线交于两点,且,求双曲线方程.

查看答案和解析>>

科目:高中数学 来源:2015-2016学年吉林省高一上学期期中数学试卷(解析版) 题型:填空题

已知函数是奇函数.当时,,则当时,

查看答案和解析>>

科目:高中数学 来源:2015-2016学年湖南省常德市高一上学期期中数学试卷(解析版) 题型:选择题

已知函数在区间上是减函数,则实数m的取值范围是( )

A.

B.

C.

D.

查看答案和解析>>

科目:高中数学 来源:2016届浙江宁波效实中学高三上期中考试理科数学试卷(解析版) 题型:解答题

二次函数的图象过原点,且对,恒有.设数列满足

(1)求函数的表达式;

(2)证明:

(3)证明:

查看答案和解析>>

同步练习册答案