精英家教网 > 高中数学 > 题目详情

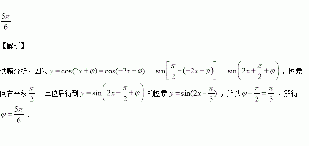
函数的图象向右平移个单位后,与函数的图象重合,则

练习册系列答案
相关习题

科目:高中数学 来源:2015-2016学年河北省邢台市高二上第一次月考数学试卷(解析版) 题型:选择题

下列图形中不一定是平面图形的是( )

A.三角形 B.平行四边形

C.梯形 D.四边相等的四边形

查看答案和解析>>

科目:高中数学 来源:2016届辽宁省葫芦岛市高三上学期期中理科数学试卷(解析版) 题型:选择题

已知函数的定义域为,当时,,且对任意的实数,等式成立,若数列满足,且,则下列结论成立的是( )

A. B.

C. D.

查看答案和解析>>

科目:高中数学 来源:2016届黑龙江省牡丹江市高三上学期期中理科数学试卷(解析版) 题型:填空题

数列满足,其前项积为,则

查看答案和解析>>

科目:高中数学 来源:2016届贵州省贵阳市高三上学期第三次月考文科数学试卷(解析版) 题型:选择题

某工厂产品的年产量在吨至吨之间,年生产的总成本(万元)与年产量(吨)之间的关系可近似表示为,则每吨的成本最低时的年产量为( )

A.吨 B.吨 C.吨 D.

查看答案和解析>>

科目:高中数学 来源:2015-2016学年江西南昌二中高二上学期期中文科数学试卷(解析版) 题型:解答题

(本小题满分12分)已知圆:,直线

(Ⅰ)判断直线与圆的位置关系。

(Ⅱ)若直线与圆交于不同两点,且=3,求直线的方程。

查看答案和解析>>

科目:高中数学 来源:2015-2016学年江西南昌二中高二上学期期中理科数学试卷(解析版) 题型:填空题

过圆上一点的切线方程:

查看答案和解析>>

科目:高中数学 来源:2015-2016学年吉林实验中学高二上学期期中理科数学试卷(解析版) 题型:选择题

在三棱柱中,底面是正三角形,侧棱底面,点是侧面的中心,若,则直线与平面所成角的大小为

(A) (B) (C) (D)

查看答案和解析>>

科目:高中数学 来源:2016届浙江宁波效实中学高三上期中考试文科数学试卷(解析版) 题型:解答题

在四棱锥中,底面是边长的菱形,分别为的中点.

(1)求证:

(2)求二面角的大小的正弦值;

(3)求点到面距离.

查看答案和解析>>

同步练习册答案