已知函数f(x)是定义在[-6,6]上的奇函数,且f(x)在[0,3]上是x的一次函数,在[3,6]上是x的二次函数,且当3≤x≤6时,f(x)≤f(5)=3,f(6)=2,求f(x)的解析式.
【答案】
分析:根据题意,分析可得(5,3)是[3,6]这段二次函数图象的顶点,则设其解析式为f(x)=a(x-5)
2+3,代入数据可得a=-1,即f(x)=-(x-5)
2+3,进而由特殊值可得f(x)在[0,3]x的一次函数的解析式,再根据函数是奇函数,由奇函数的性质,分析可得f(x)的解析式.
解答:解:∵f(x)在[3,6]上是x的二次函数,且当3≤x≤6时,f(x)≤f(5)=3;
∴(5,3)是此二次函数图象的顶点,设这个二次函数为f(x)=a(x-5)
2+3.
∵f(6)=2;
∴a=-1.
∴f(x)=-(x-5)
2+3(x∈[3,6]),
∴f(3)=-1.
又函数f(x)是定义在[-6,6]上的奇函数;
∴f(0)=0.
∵f(x)在[0,3]上是x的一次函数,且f(0)=0,f(3)=-1;
∴

.
又∵函数f(x)是定义在[-6,6]上的奇函数,
∴x∈[-3,0]时,

;x∈[-6,-3]时,
f(x)=-f(-x)=-[-(-x-5)
2+3}=(x+5)
2-3.
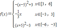
综上
点评:本题考查函数奇偶性的运用以及待定系数法求函数的解析式,涉及分段函数时,注意分段函数,分段分析,分段讨论的思想.