精英家教网 > 高中数学 > 题目详情

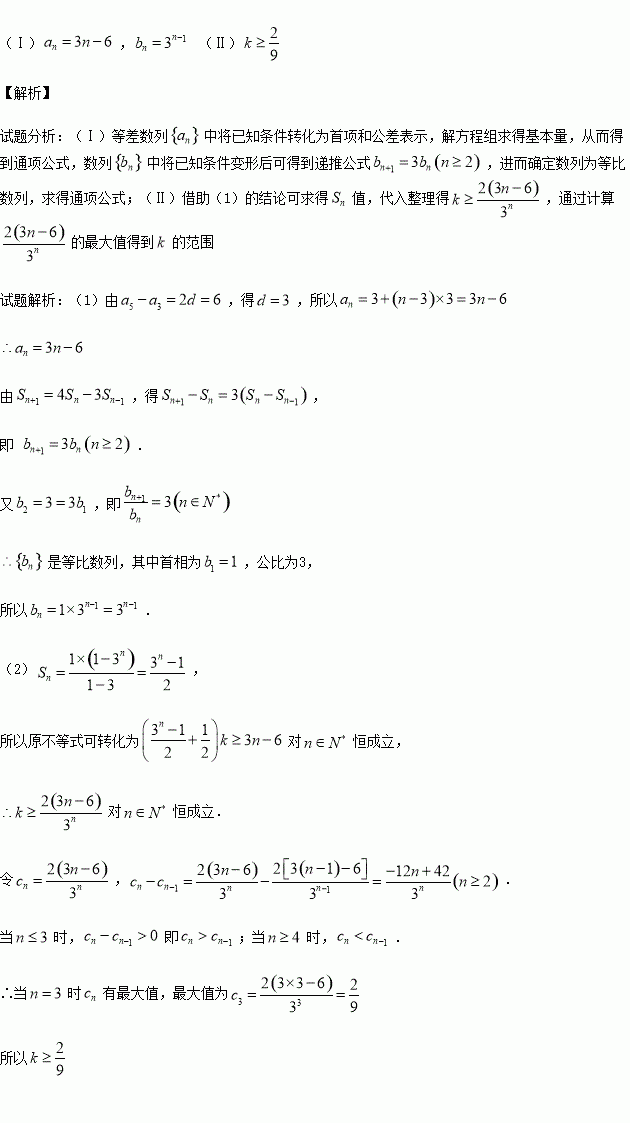
(12分)已知等差数列满足;数列的前n项和为,且满足

(Ⅰ)分别求数列的通项公式;

(Ⅱ)若对任意的恒成立,求实数k的取值范围.

练习册系列答案
相关习题

科目:高中数学 来源:2015-2016学年广东省佛山市高一上学期期中数学试卷(解析版) 题型:选择题

以下四个图形中可以作为函数的图象的是( )

查看答案和解析>>

科目:高中数学 来源:2016届山东省高三第二次诊断性考试理科数学试卷(解析版) 题型:选择题

已知是奇函数,且满足,当时,,则当时,的最小值为( )

A. B. C. D.

查看答案和解析>>

科目:高中数学 来源:2015-2016学年四川绵阳南山中学高二上期中文科数学试卷(解析版) 题型:选择题

数列满足,则数列的前10项的和为

A. B. C. D.

查看答案和解析>>

科目:高中数学 来源:2015-2016学年湖北省高二上期中文科数学试卷(解析版) 题型:解答题

(本小题满分13分)已知△的两个顶点的坐标分别是,且所在直线的斜率之积等于

(1)求顶点的轨迹的方程,并判断轨迹为何种曲线;

(2)当时,点为曲线 C上点, 且点为第一象限点,过点作两条直线与曲线C交于两点,直线斜率互为相反数,则直线EF斜率是否为定值,若是,求出定值,若不是,请说明理由.

查看答案和解析>>

科目:高中数学 来源:2015-2016学年广西桂林中学高二上期中考试文科数学试卷(解析版) 题型:选择题

中,若,则角为 ( )

A. B. C. D.

查看答案和解析>>

科目:高中数学 来源:2015-2016学年陕西省高二上学期期中考试数学试卷(解析版) 题型:填空题

黑白两种颜色的正六边形地面砖按如图的规律拼成若干个图案:

则第个图案中有白色地面砖

查看答案和解析>>

科目:高中数学 来源:2015-2016学年湖北省枣阳市高二10月月考理科数学试卷(解析版) 题型:填空题

连续3次抛掷一枚质地均匀的硬币,在至少有一次出现正面向上的条件下,恰有一次出现反面向上的概率为

查看答案和解析>>

科目:高中数学 来源:2014-2015学年浙江省等三校高二上学期期中考试数学试卷(解析版) 题型:填空题

在△ABC中,BC=1,B=,当△ABC的面积等于时,AB=________.

查看答案和解析>>

同步练习册答案