精英家教网 > 高中数学 > 题目详情

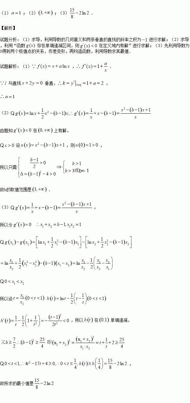
已知函数处的切线与直线垂直,函数

(1)求实数的值;

(2)若函数存在单调递减区间,求实数b的取值范围;

(3)设是函数的两个极值点,若,求的最小值.

练习册系列答案
相关习题

科目:高中数学 来源:2015-2016年湖北武汉华中师大一附高二上期中文科数学卷(解析版) 题型:填空题

在平面直角坐标系中,已知圆上有且仅有三个点到直线的距离为1,则实数的值为____________.

查看答案和解析>>

科目:高中数学 来源:2015-2016学年湖北武汉华中师大一附高一上期中数学试卷(解析版) 题型:选择题

方程的根所在的区间为( )

A. B. C. D.

查看答案和解析>>

科目:高中数学 来源:2016届宁夏六盘山高中高三上学期第二次月考理科数学试卷(解析版) 题型:选择题

设全集,则右图中阴影部分表示的集合为( )

A、 B、 C、 D、

查看答案和解析>>

科目:高中数学 来源:2016届湖南省株洲市高三上学期期中文科数学试卷(解析版) 题型:填空题

有一个底面半径为1、高为2的圆柱,点为这个圆柱底面圆的圆心,在这个圆柱内随机取一点,则点到点的距离大于1的概率为

查看答案和解析>>

科目:高中数学 来源:2016届湖北武汉华中师大一附等高三上第一次联考文数学卷(解析版) 题型:解答题

选修4-4 极坐标与参数方程

已知曲线的极坐标方程为,曲线为参数).

(1)求曲线的普通方程;

(2)若点在曲线上运动,试求出到曲线的距离的最小值.

查看答案和解析>>

科目:高中数学 来源:2016届湖北武汉华中师大一附等高三上第一次联考理数学卷(解析版) 题型:解答题

如图,中,三个内角成等差数列,且

(1)求的面积;

(2)已知平面直角坐标系,点,若函数的图象经过三点,且的图象与轴相邻的两个交点,求的解析式.

查看答案和解析>>

科目:高中数学 来源:2015-2016学年山西省太原市高二12月月考数学试卷(解析版) 题型:选择题

已知椭圆的离心率,则的值为( )

A. B. C. D.

查看答案和解析>>

科目:高中数学 来源:2016届湖南师范大学附中高三上学期月考三文科数学试卷(解析版) 题型:解答题

设数列的前项和为,已知

(1)求的值,并求数列的通项公式;

(2)若数列为等差数列,且.设,数列的前项和为

证明:对任意是一个与无关的常数.

查看答案和解析>>

同步练习册答案