精英家教网 > 高中数学 > 题目详情

选修4-4 极坐标与参数方程

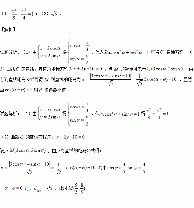
已知曲线的极坐标方程为,曲线为参数).

(1)求曲线的普通方程;

(2)若点在曲线上运动,试求出到曲线的距离的最小值.

练习册系列答案
相关习题

科目:高中数学 来源:2016上海复旦大学附中届高三上期中文科数学试卷(解析版) 题型:选择题

若对任意,都有,那么上………………( )

A、一定单调递增 B、一定没有单调减区间

C、可能没有单调增区间 D、一定没有单调增区间

查看答案和解析>>

科目:高中数学 来源:2015-2016学年湖北武汉华中师大一附高二上期中理数学卷(解析版) 题型:选择题

时,曲线与曲线有相同的( )

A.焦点 B.准线 C.焦距 D.离心率

查看答案和解析>>

科目:高中数学 来源:2016届湖南省株洲市高三上学期期中文科数学试卷(解析版) 题型:解答题

将圆x2+y2=1上每一点的横坐标保持不变,纵坐标变为原来的2倍,得曲线C.

(1)写出C的参数方程;

(2)设直线l:2x+y-2=0与C的交点为P1,P2,以坐标原点为极点,x轴正半轴为极轴建立极坐标系,求过线段P1P2的中点且与l垂直的直线的极坐标方程.

查看答案和解析>>

科目:高中数学 来源:2016届湖南省株洲市高三上学期期中理科数学试卷(解析版) 题型:解答题

已知函数处的切线与直线垂直,函数

(1)求实数的值;

(2)若函数存在单调递减区间,求实数b的取值范围;

(3)设是函数的两个极值点,若,求的最小值.

查看答案和解析>>

科目:高中数学 来源:2016届湖北武汉华中师大一附等高三上第一次联考文数学卷(解析版) 题型:选择题

若偶函数上单调递减,,则满足( )

A. B. C. D.

查看答案和解析>>

科目:高中数学 来源:2016届福建省高三上学期期中考理科数学试卷(解析版) 题型:解答题

设数列的前项和为,已知),是数列的前项和.

(1)求数列的通项公式;

(2)求满足的最大正整数的值.

查看答案和解析>>

科目:高中数学 来源:2015-2016学年湖南师大附中高二上学期期中文科数学试卷(解析版) 题型:解答题

已知分别为内角A,B,C的对边,,且

(1)求A;

(2)若,求的面积.

查看答案和解析>>

科目:高中数学 来源:2016届湖南师范大学附中高三上学期月考三理科数学试卷(解析版) 题型:解答题

如图,已知抛物线的焦点为,椭圆的中心在原点,为其右焦点,点为曲线在第一象限的交点,且

(1)求椭圆的标准方程;

(2)设为抛物线上的两个动点,且使得线段的中点在直线上,

为定点,求面积的最大值.

查看答案和解析>>

同步练习册答案