精英家教网 > 高中数学 > 题目详情
Sn是等比数列{an}的前n项和,若S4=24,S8=36,则S12等于( )
A.42
B.63
C.75
D.83
【答案】分析:法一:由等比数列的性质可知,s4,s8-s4,s12-s8成等比数列,把已知代入即可求解
法二:由等比数列的求和公式可得,两式相除整理可求q,进而可求,代入可求
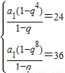
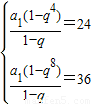
解答:解:法一:∵S4=24,S8=36,
由等比数列的性质可知,s4,s8-s4,s12-s8成等比数列
∴122=24(s12-36)
∴s12=42
故选A
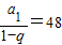
法二:由题意可得q≠1
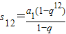
由等比数列的求和公式可得,
两式相除整理可得,
∴q4=
==42
故选A
点评:本题主要考查了与和有关的等比数列的性质的简单应用,属于基础试题
练习册系列答案
相关习题

科目:高中数学 来源: 题型:

下列命题正确的有
 
(把所有正确命题的序号填在横线上):
①若数列{an}是等差数列,且am+an=as+at(m、n、s、t∈N*),则m+n=s+t;
②若Sn是等差数列{an}的前n项的和,则Sn,S2n-Sn,S3n-S2n成等差数列;
③若Sn是等比数列{an}的前n项的和,则Sn,S2n-Sn,S3n-S2n成等比数列;
④若Sn是等比数列{an}的前n项的和,且Sn=Aqn+B;(其中A、B是非零常数,n∈N*),则A+B为零.

查看答案和解析>>

科目:高中数学 来源: 题型:

设Sn是等比数列{an}的前n项和,S3,S9,S6成等差数列.
(Ⅰ)求数列{an}的公比q;
(Ⅱ)求证:a3,a9,a6成等差数列;
(Ⅲ)当am,as,at(m,s,t∈[1,10],m,s,t互不相等)成等差数列时,求m+s+t的值.

查看答案和解析>>

科目:高中数学 来源: 题型:

设Sn是等比数列{an}的前n项和,
(1)若S3,S9,S6成等差数列,求证:a2,a8,a5成等差数列.
(2)设p,r,t,k,m,n∈N*,且p,r,t成等差数列,若pSk,rSm,tSn成等差数列,试判断pak+1,ram+1,tan+1三者关系,并说明理由.

查看答案和解析>>

科目:高中数学 来源: 题型:

已知Sn是等比数列{an}的前n项和,其公比为q,若S3、S9、S6成等差数列.求
(1)q3的值;
(2)求证:a3、a9、a6也成等差数列.

查看答案和解析>>

科目:高中数学 来源: 题型:

Sn是等比数列{an}的前n项和,若S4=24,S8=36,则S12等于(  )

查看答案和解析>>

同步练习册答案