精英家教网 > 高中数学 > 题目详情

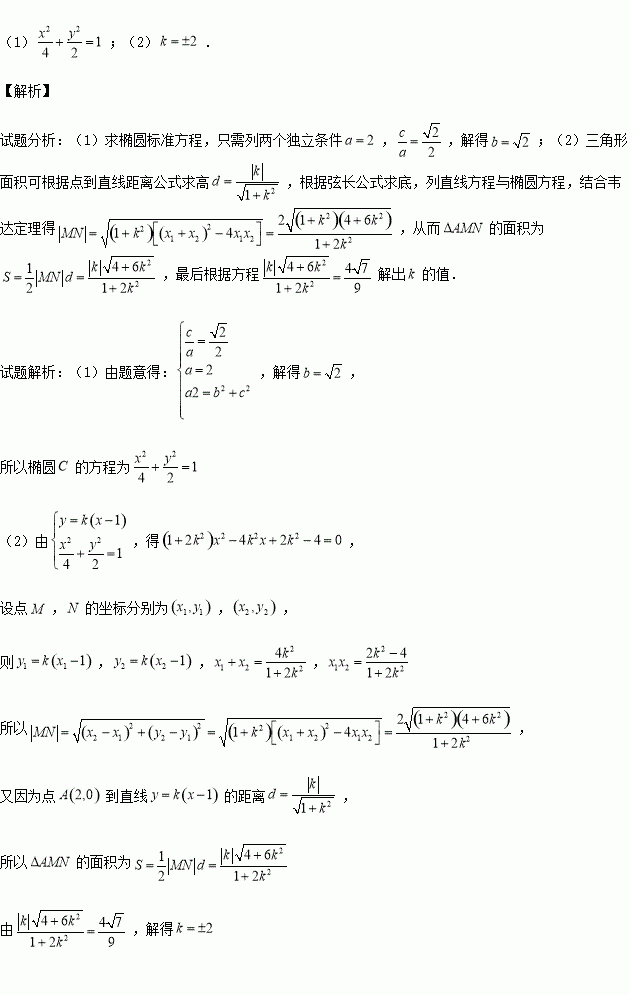
已知椭圆,一个顶点为,离心率为,直线与椭圆交于不同的两点两点.

(1)求椭圆的方程;

(2)当的面积为时,求的值.

练习册系列答案
相关习题

科目:高中数学 来源:2017届福建南平浦城县高三理上学期期中数学试卷(解析版) 题型:选择题

给出下列函数:

;②;③则它们共同具有的性质是( )

A.周期性 B.偶函数 C.奇函数 D.无最大值

查看答案和解析>>

科目:高中数学 来源:2017届江西吉安一中高三文周考12.11数学试卷(解析版) 题型:选择题

有关命题的说法正确的是( )

A.命题“若,则”的否命题为:“若,则

B.命题“,使得”的否定是:“

C.“若,则互为相反数”的逆命题为真命题

D.命题“若,则”的逆否命题为真命题

查看答案和解析>>

科目:高中数学 来源:2017届江西吉安一中高三理周考12.11数学试卷(解析版) 题型:选择题

已知正三棱锥的外接球的半径为,且球心在点所确定的平面上,则三棱锥的表面积是( )

A. B.

C. D.

查看答案和解析>>

科目:高中数学 来源:2017届江西吉安一中高三理周考12.11数学试卷(解析版) 题型:选择题

已知等比数列中,,则公比( )

A. B.

C. D.

查看答案和解析>>

科目:高中数学 来源:2017届河南新乡一中高三文周考12.18数学试卷(解析版) 题型:填空题

我国古代数学名著《九章算术》中记载了公元前344年商鞅督造一种标准量器------商鞅铜方升,其三视图如上如图所示(单位:寸),若取3,其体积为12.6(立方寸),则图中的

查看答案和解析>>

科目:高中数学 来源:2017届河南新乡一中高三文周考12.18数学试卷(解析版) 题型:选择题

过椭圆的左焦点轴的垂线交椭圆于点为右焦点,若,则椭圆的离心率为( )

A. B.

C. D.

查看答案和解析>>

科目:高中数学 来源:2017届河南新乡一中高三理周考11.6数学试卷(解析版) 题型:填空题

若函数上的最大值为2,则实数的取值范围是

查看答案和解析>>

科目:高中数学 来源:2017届云南大理州高三理上学期统测一数学试卷(解析版) 题型:解答题

在四棱锥中,底面是正方形,侧面底面,且,分别为的中点.

(1)求证:平面

(2)在线段上是否存在点,使得二面角的余弦值为,若存在,请求出点的位置;若不存在,请说明理由.

查看答案和解析>>

同步练习册答案