精英家教网 > 高中数学 > 题目详情

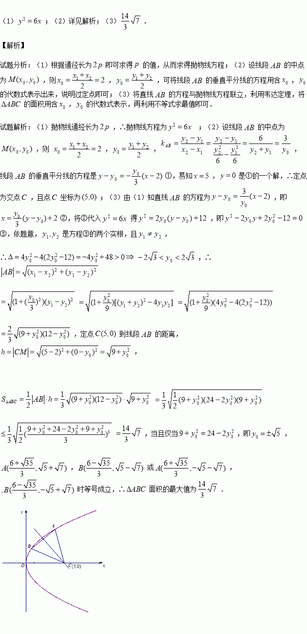
已知抛物线,过焦点且垂直轴的弦长为6,抛物线上的两个动点,其中,线段的垂直平分线与轴交于点

(1)求抛物线方程;

(2)试证线段的垂直平分线经过定点,并求此定点;

(3)求面积的最大值.

练习册系列答案
相关习题

科目:高中数学 来源:2016届湖南师大附中高三月考四文科数学试卷(解析版) 题型:选择题

已知角的终边上有一点,则的值为( )

A.1 B. C. D.

查看答案和解析>>

科目:高中数学 来源:2015-2016学年广东省清远市实验学校高一上学期期中数学试卷(解析版) 题型:选择题

设f(x)是定义在R上的偶函数,切f(x)在[0,+∞)上为增函数,则f(-2)、f(-π)、f(3)的大小关系是( )

A.f(-π)>f(-2)>f(3) B.f(-π)>f(3)>f(-2)

C.f(-π)<f(3)<f(-2) D.f(-π)<f(-2)<f(3)

查看答案和解析>>

科目:高中数学 来源:2016届北京市朝阳区高三上学期期中统一考试理科数学试卷(解析版) 题型:选择题

已知等差数列的公差为,若成等比数列,那么等于( )

A. B. C. D.

查看答案和解析>>

科目:高中数学 来源:2015-2016学年河北省高一上学期期中考试理科数学试卷(解析版) 题型:解答题

函数f (x)=(1-x)+(x+3),0<a<1.

(1)求函数f (x)的定义域;

(2)若函数f (x)的最小值为-2,求a的值.

查看答案和解析>>

科目:高中数学 来源:2016届浙江省绍兴市高三上学期期中文科数学试卷(解析版) 题型:选择题

若全集,集合,则=( )

A.

B.

C.

D.

查看答案和解析>>

科目:高中数学 来源:2016届山西省高三10月月考文科数学试卷(解析版) 题型:填空题

是虚数单位,是复数的共轭复数,若,则_________.

查看答案和解析>>

科目:高中数学 来源:2016届辽宁省沈阳市高三上学期期中理科数学试卷(解析版) 题型:选择题

如图,正五边形的边长为2,甲同学在中用余弦定理解得,乙同学在中解得,据此可得的值所在区间为( )

A. B. C. D.

查看答案和解析>>

科目:高中数学 来源:2015-2016学年吉林省高一上期中文科数学试卷(解析版) 题型:解答题

(1)计算:

(2)解方程:

查看答案和解析>>

同步练习册答案