精英家教网 > 高中数学 > 题目详情
若等差数列{an}的公差d≠0,且a1,a3,a7成等比数列,则的值为( )
A.2
B.
C.
D.
【答案】分析:根据等差数列可设a3=a1+2d,a7=a1+6d.结合a1、a3、a7成等比数列,得到a1=2d.进而求出的值.
解答:解:设等差数列的公差为d,首项为a1
所以a3=a1+2d,a7=a1+6d.
因为a1、a3、a7成等比数列,
所以(a1+2d)2=a1(a1+6d),解得:a1=2d.
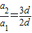
所以=
故选B.
点评:本题主要考查了等比数列的性质,以及等差数列的通项公式,解题的关键是找出首项a1与d的关系,属于中档题.
练习册系列答案
相关习题

科目:高中数学 来源: 题型:

6、若等差数列{an}的前5项和S5=30,且a2=7,则a7=(  )

查看答案和解析>>

科目:高中数学 来源: 题型:

若等差数列{an}的公差为d,前n项的和为Sn,则数列{
Sn
n
}
为等差数列,公差为
d
2
.类似地,若各项均为正数的等比数列{bn}的公比为q,前n项的积为Tn,则数列{
nTn
}
为等比数列,公比为
 

查看答案和解析>>

科目:高中数学 来源: 题型:

已知f(x)=sin2x,若等差数列{an}的第5项的值为f′(
π6
),则a1a2+a2a9+a9a8+a8a1=
4
4

查看答案和解析>>

科目:高中数学 来源: 题型:

(2013•浙江模拟)若等差数列{an}的前n项和为Sn(n∈N*),若a2:a3=5:2,则S3:S5=
3:2
3:2

查看答案和解析>>

科目:高中数学 来源: 题型:

若等差数列{an}的项数m为奇数,且a1+a3+a5+…+am=52,a2+a4+…+am-1=39则m=(  )

查看答案和解析>>

同步练习册答案