精英家教网 > 高中数学 > 题目详情

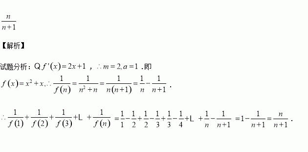
函数的导函数,那么数列的前项和是____________.

练习册系列答案
相关习题

科目:高中数学 来源:2016届西藏日喀则一中高三10月检测理科数学试卷(解析版) 题型:选择题

已知函数)的图象与轴交点的横坐标构成一个公差为的等差数列,把函数的图象沿轴向左平移个单位,得到函数的图象.关于函数,下列说法正确的是( )

A.在上是增函数

B.其图象关于直线对称

C.函数是奇函数

D.当时,函数的值域是

查看答案和解析>>

科目:高中数学 来源:2015-2016学年河北衡水冀州中学高二上期中文科数学B卷(解析版) 题型:解答题

已知函数

(1)求证:上是增函数;

(2)求的最大值和最小值.

查看答案和解析>>

科目:高中数学 来源:2016届四川省巴中市普通高中高三10月零诊考试文科数学试卷(解析版) 题型:解答题

(本小题满分12分)椭圆G 的长轴为4,焦距为4

(1)求椭圆G的方程;

(2)若斜率为1的直线l与椭圆G交于A、B两点, 且点P(-3,2)在线段AB的垂直平分线上,求?PAB的面积.

查看答案和解析>>

科目:高中数学 来源:2016届四川省巴中市普通高中高三10月零诊考试理科数学试卷(解析版) 题型:填空题

设sin2a=sina ,a∈(1,),则tan2a的值是

查看答案和解析>>

科目:高中数学 来源:2014-2015学年陕西省西安市高三上学期期中考试理科数学试卷(解析版) 题型:解答题

(满分12分)渔船甲位于岛屿的南偏西方向处,且与岛屿相距海里,渔船乙以海里/小时的速度从岛屿出发沿正北方向航行,若渔船甲同时从处出发沿北偏东的方向追赶渔船乙,刚好用了2小时追赶上渔船乙.

(Ⅰ)求渔船甲的速度;

(Ⅱ)求的值.

查看答案和解析>>

科目:高中数学 来源:2015-2016年重庆巴蜀中学高一上学期10月月考数学试卷(解析版) 题型:选择题

设f(x)是(-∞,+∞)上的减函数,则不等式f(2)﹤的解集是( )

A、 B、 C、 D、

查看答案和解析>>

科目:高中数学 来源:2015-2016学年湖北武汉二中高二上学期期中文科数学试卷(解析版) 题型:选择题

已知函数其中为常数,那么“”是“为奇函数”的( )

A.充分不必要条件

B.必要不充分条件

C.充要条件

D.既不充分也不必要条件

查看答案和解析>>

科目:高中数学 来源:2014-2015学年海南省高三下学期大测三文科数学试卷(解析版) 题型:解答题

(本小题满分10分)选修4—5:不等式选讲

设函数

(Ⅰ)解不等式:>0;

(Ⅱ)若对一切实数χ均成立,求m的取值范围.

查看答案和解析>>

同步练习册答案