在△ABC中,∠A,∠B,∠C所对的边分别是a,b,c.
(Ⅰ)用余弦定理证明:当∠C为钝角时,a2+b2<c2;
(Ⅱ)当钝角△ABC的三边a,b,c是三个连续整数时,求△ABC外接圆的半径.
【答案】
分析:(I)∠C为钝角时⇒cosC<0,然后根据余弦定理得出c
2=a
2+b
2-2ab•cosC>a
2+b
2,即可证明结论.
(II)先设△ABC的三边分别为n-1,n,n+1,从而得出n-1)
2+n
2<(n+1)
2,求出n,当n=2时,不能构成三角形,舍去,当n=3时,求出△ABC三边长,利用余弦定理求出cosC,再由正弦定理求出外接圆半径.
解答:解:(Ⅰ)当∠C为钝角时,cosC<0,(2分)
由余弦定理得:c
2=a
2+b
2-2ab•cosC>a
2+b
2,(5分)
即:a
2+b
2<c
2.(6分)
(Ⅱ)设△ABC的三边分别为n-1,n,n+1(n≥2,n∈Z),
∵△ABC是钝角三角形,不妨设∠C为钝角,
由(Ⅰ)得(n-1)
2+n
2<(n+1)
2⇒n
2-4n<0⇒0<n<4,(9分)
∵n≥2,n∈Z,∴n=2,n=3,
当n=2时,不能构成三角形,舍去,
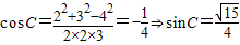
当n=3时,△ABC三边长分别为2,3,4,(11分)

,(13分)
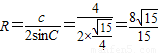
△ABC外接圆的半径

.(14分)
点评:本题考查了正弦定理和余弦定理,对于外接圆半径利用正弦定理得到即可,属于中档题.