精英家教网 > 高中数学 > 题目详情

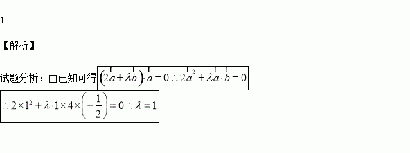
已知向量的夹角是,且||=1,||=4,若()⊥,则实数=_____

练习册系列答案
相关习题

科目:高中数学 来源:2015-2016学年江西省赣州市十三县高二下学期期中文科数学试卷(解析版) 题型:解答题

已知复数满足: 的值.

查看答案和解析>>

科目:高中数学 来源:2015-2016学年四川省雅安市高一下学期期中文科数学试卷(解析版) 题型:解答题

中,内角对边的边长分别是,已知.

(1)若的面积等于,求

(2)若,求的面积.

查看答案和解析>>

科目:高中数学 来源:2015-2016学年四川省雅安市高一下学期期中文科数学试卷(解析版) 题型:选择题

等差数列的前n项和为,若,则等于( )

A. 52 B. 54 C. 56 D. 58

查看答案和解析>>

科目:高中数学 来源:2015-2016学年四川省雅安市高一下学期期中理科数学试卷(解析版) 题型:解答题

中,角所对的边分别为,且

(Ⅰ)求的值;

(Ⅱ)若,求的面积.

查看答案和解析>>

科目:高中数学 来源:2015-2016学年四川省雅安市高一下学期期中理科数学试卷(解析版) 题型:选择题

已知三角形△ABC中,角A,B,C的对边分别为,若,则

=( )

A. B. C. D.

查看答案和解析>>

科目:高中数学 来源:2015-2016学年四川省雅安市高一下学期期中理科数学试卷(解析版) 题型:选择题

已知,且,则等于( )

A. B. C. 3 D.

查看答案和解析>>

科目:高中数学 来源:2015-2016学年贵州遵义一中高一下第二次联考数学试卷(解析版) 题型:选择题

中,已知,则的形状为( )

A.等腰三角形 B.直角三角形 C.等腰或直角三角形 D.正三角形

查看答案和解析>>

科目:高中数学 来源:2016届吉林省高三五模文科数学试卷(解析版) 题型:填空题

已知导数为,且,则

查看答案和解析>>

同步练习册答案