精英家教网 > 高中数学 > 题目详情

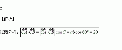
已知三角形△ABC中,角A,B,C的对边分别为,若,则

=( )

A. B. C. D.

练习册系列答案
相关习题

科目:高中数学 来源:2015-2016学年江西省赣州市十三县高二下学期期中文科数学试卷(解析版) 题型:选择题

设函数是奇函数的导函数,f(-2)=0,当时, , 则使得成立的x的取值范围是( )

A.(-,-2)(0, 2) B.(-,-2)(2, +

C.(-2,0)(2,+) D.(-2,0)(0,2)

查看答案和解析>>

科目:高中数学 来源:2015-2016学年四川省雅安市高一下学期期中文科数学试卷(解析版) 题型:填空题

已知数列满足,则数列的通项公式=

查看答案和解析>>

科目:高中数学 来源:2015-2016学年四川省雅安市高一下学期期中理科数学试卷(解析版) 题型:解答题

中,内角对边的边长分别是,已知.

(1)若的面积等于,求

(2)若,求的面积.

查看答案和解析>>

科目:高中数学 来源:2015-2016学年四川省雅安市高一下学期期中理科数学试卷(解析版) 题型:填空题

已知向量的夹角是,且||=1,||=4,若()⊥,则实数=_____

查看答案和解析>>

科目:高中数学 来源:2015-2016学年四川省雅安市高一下学期期中理科数学试卷(解析版) 题型:选择题

等差数列的前n项和为,若,则等于( )

A. 52 B. 54 C. 56 D. 58

查看答案和解析>>

科目:高中数学 来源:2015-2016学年贵州遵义一中高一下第二次联考数学试卷(解析版) 题型:解答题

已知向量,函数 ,其中为常数.

(1)求函数的周期;

(2)如果的最小值为0,求的值,并求此时的最大值及取得最大值时自变量的集合.

查看答案和解析>>

科目:高中数学 来源:2015-2016学年贵州遵义一中高一下第二次联考数学试卷(解析版) 题型:选择题

已知集合,则( )

A. B. C. D.

查看答案和解析>>

科目:高中数学 来源:2016届吉林省高三五模文科数学试卷(解析版) 题型:选择题

已知平面向量满足,且,则( )

A.1 B. C. D.

查看答案和解析>>

同步练习册答案