精英家教网 > 高中数学 > 题目详情

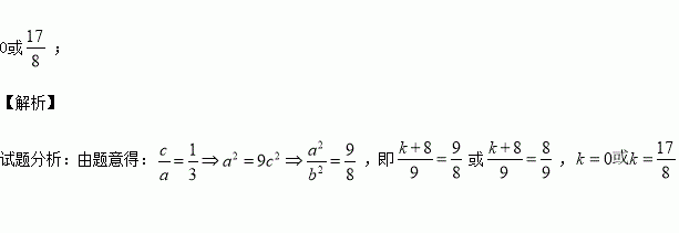
若椭圆 的离心率,则的值为 .

练习册系列答案
相关习题

科目:高中数学 来源:2015-2016学年青海省高二期中考试数学试卷(解析版) 题型:选择题

过点且与直线平行的直线方程是( )

A. B.

C. D.

查看答案和解析>>

科目:高中数学 来源:2015-2016年湖北武汉华中师大一附高二上期中文科数学卷(解析版) 题型:解答题

已知双曲线的焦距为2c,右顶点为A,抛物线的焦点为F,若双曲线截抛物线的准线所得线段长为2c,且,求双曲线的渐近线方程.

查看答案和解析>>

科目:高中数学 来源:2016届河北省高三上学期四调文科数学试卷(解析版) 题型:解答题

(本题小满分12分)

如图,直三棱柱中,分别是的中点,

(1)证明:平面

(2)求异面直线所成角的大小;

(3)当时,求三棱锥的体积.

查看答案和解析>>

科目:高中数学 来源:2016届河北省高三上学期四调理科数学试卷(解析版) 题型:填空题

利用一个球体毛坯切削后得到一个四棱锥,其中底面四边形是边长为的正方形,,且平面,则球体毛坯体积的最小值应为

查看答案和解析>>

科目:高中数学 来源:2015-2016学年吉林省高二11月月考理科数学卷(解析版) 题型:解答题

(本小题满分12分)

已知在等比数列中,,且的等差中项.

(Ⅰ)求数列的通项公式;

(Ⅱ)若数列满足,求的前项和. Ks5

查看答案和解析>>

科目:高中数学 来源:2015-2016学年湖北武汉华中师大一附高一上期中数学试卷(解析版) 题型:填空题

已知函数,则=

查看答案和解析>>

科目:高中数学 来源:2016届宁夏六盘山高中高三上学期第二次月考理科数学试卷(解析版) 题型:选择题

若函数在一个周期内的图象如图所示,分别是这段图象的最高点和最低点,且,(为坐标原点),则=( )

A、 B、 C、 D、

查看答案和解析>>

科目:高中数学 来源:2015-2016学年浙江省高一上学期期中数学试卷(解析版) 题型:选择题

下列表示图形中的阴影部分的是( ).

A.

B.

C.

D.

查看答案和解析>>

同步练习册答案