精英家教网 > 高中数学 > 题目详情

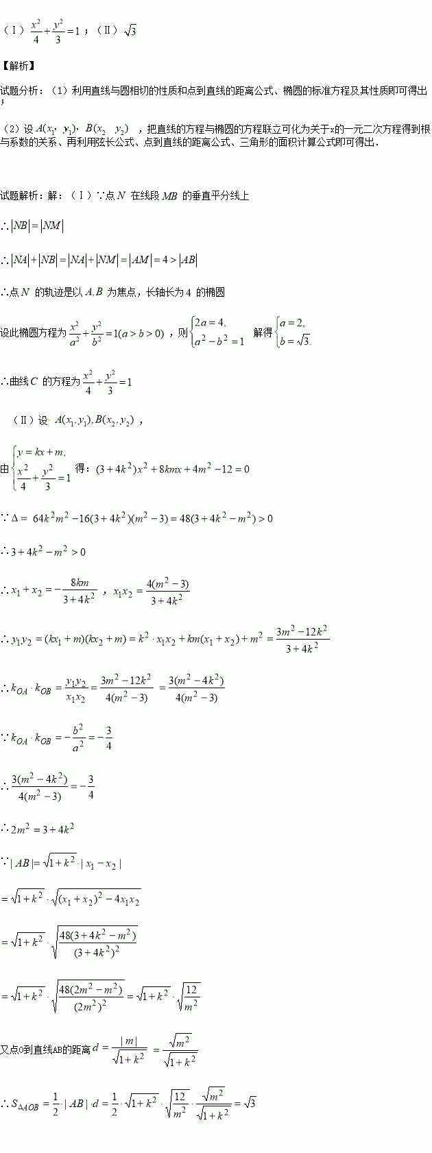
已知两定点,动点满足,线段的垂直平分线与线段相交于点,设点的轨迹为曲线

(Ⅰ)求曲线的方程;

(Ⅱ)若直线与椭圆相交于两点,且,判断的面积是否为定值?若为定值,求出定值;若不为定值,说明理由.

练习册系列答案
相关习题

科目:高中数学 来源:2015-2016学年陕西省高二下期中理科数学试卷(解析版) 题型:选择题

否定“自然数中恰有一个偶数”时正确的反设为( )

A. 都是奇数 B. 至少有两个偶数

C. 都是偶数 D. 中都是奇数或至少有两个偶数

查看答案和解析>>

科目:高中数学 来源:2015-2016学年广西桂林市高二下期中数学试卷(解析版) 题型:选择题

定积分的值为( )

A. B. C. D.

查看答案和解析>>

科目:高中数学 来源:2015-2016学年黑龙江省高一下期中数学试卷(解析版) 题型:选择题

,则( )

A. B. C. D.

查看答案和解析>>

科目:高中数学 来源:2015-2016学年黑龙江省高一下期中数学试卷(解析版) 题型:选择题

的值为( )

A. B. C. D.

查看答案和解析>>

科目:高中数学 来源:2016届福建福州三中高三最后模拟文科数学试卷(解析版) 题型:填空题

设三棱柱的侧棱垂直于底面,所有棱长都为3,顶点都在一个球面上,则该球的表面积为______.

查看答案和解析>>

科目:高中数学 来源:2016届福建福州三中高三最后模拟文科数学试卷(解析版) 题型:选择题

下图是某几何体的三视图,则该几何体的体积等于( )

A.6 B.8 C.10 D.12

查看答案和解析>>

科目:高中数学 来源:2015-2016学年重庆八中高二下第三次周考理科数学试卷(解析版) 题型:填空题

已知某棱锥的三视图如图所示,俯视图为正方形,根据图中所给的数据,那么该棱锥外接球的体积是________.

查看答案和解析>>

科目:高中数学 来源:2015-2016学年江西省高二下期中文科数学试卷(解析版) 题型:解答题

复数z=(m2+5m+6)+(m2-2m-15)i (m∈R),求满足下列条件的m的值.

(1) z是纯虚数;

(2)在复平面内对应的点位于第三象限。

查看答案和解析>>

同步练习册答案