精英家教网 > 高中数学 > 题目详情
计算由曲线y=x2+2,y=3x以及x=0,x=2围成图形的面积S.
【答案】分析:联解方程组,得曲线y=x2+2与直线y=3x交于点A(1,3)和B(2,6).因此将所求面积分成两个部分的和:S=,然后利用定义分的计算公式,分别求出两个函数的原函数,最后代入数据可计算出它们的值,相加即得所求图形的面积S.
解答:解:首先,联解,得
∴曲线y=x2+2与直线y=3x交于点A(1,3)和B(2,6)
所以所求面积为
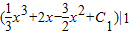
S=
=+  (其中C1、C2是常数)
=+
=1
因此,所求的面积为S=1
点评:本题以求四条曲线所围成的面积为例,着重考查了定积分在求曲边图形的面积中的应用的知识点,属于基础题,牢记定积分的计算公式,准确进行计算是解决本题的关键.
练习册系列答案
相关习题

科目:高中数学 来源: 题型:

如图,计算由曲线y=x2+1,直线x+y=3以及两坐标轴所围成的图形的面积S.

查看答案和解析>>

科目:高中数学 来源: 题型:

计算由曲线y=x2+2,y=3x以及x=0,x=2围成图形的面积S.

查看答案和解析>>

科目:高中数学 来源: 题型:

计算由曲线y=x2+1,直线x+y=3以及两坐标轴所围图形的面积S.?

 

      

查看答案和解析>>

科目:高中数学 来源: 题型:

计算由曲线y=x2+1,直线x+y=3以及两坐标轴所围的阴影图形的面积S.

查看答案和解析>>

科目:高中数学 来源:2012-2013学年广东省东莞七中高二(下)3月月考数学试卷(理科)(解析版) 题型:解答题

如图,计算由曲线y=x2+1,直线x+y=3以及两坐标轴所围成的图形的面积S.

查看答案和解析>>

同步练习册答案