精英家教网 > 高中数学 > 题目详情

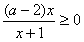
解关于x的不等式:

解:原不等式等式可化为
时,原不等式的解集为
时,原不等式可化为
此时,则原不等式的解集为
时,原不等式可化为
此时,则原不等式的解集为
综上所述,当时,原不等式的解集为
时,原不等式的解集为
时,原不等式的解集为
练习册系列答案
相关习题

科目:高中数学 来源: 题型:

定义:F(x,y)=yx(x>0,y>0)
(1)解关于x的不等式F(1,x2)+F(2,x)≤3x-1;
(2)记f(x)=3•F(1,x),设Sn=f(
1
n
)+f(
2
n
)+f(
3
n
)+…+f(
n
n
)
,若不等式
an
Sn
an+1
Sn+1
对n∈N*恒成立,求实数a的取值范围;
(3)记g(x)=F(x,2),正项数列an满足:a1=3,g(an+1)=8an,求数列an的通项公式,并求所有可能的乘积ai•aj(1≤i≤j≤n)的和.

查看答案和解析>>

科目:高中数学 来源: 题型:

20、已知定义在R上的函数f(x)满足:①f(x+y)=f(x)+f(y)+1,②当x>0时、f(x)>-1;
(I)求:f(0)的值,并证明f(x)在R上是单调增函数;
(II)若f(1)=1,解关于x的不等式;f(x2+2x)+f(1-x)>4.

查看答案和解析>>

科目:高中数学 来源: 题型:

解关于x的不等式
(a-1)x+(2-a)x-2
>0(a>0)

查看答案和解析>>

科目:高中数学 来源: 题型:

解关于x的不等式ax2-(2a+1)x+2<0.

查看答案和解析>>

科目:高中数学 来源: 题型:

设a>0,解关于x的不等式
(1-a)x-1x
<0.

查看答案和解析>>

同步练习册答案