精英家教网 > 高中数学 > 题目详情
已知函数f(x)=lnx-ax2-bx,
(1)若a=-1,函数f(x)在其定义域内是增函数,求b的取值范围;
(2)当a=1,b=-1时,证明函数f(x)只有一个零点;
(3)若f(x)的图象与x轴交于A(x1,0),B(x2,0)(x1<x2)两点,AB的中点为C(x0,0),求证:f′(x0)<0。
解:(1)依题意f(x)=lnx+x2-bx,x>0,
因为f(x)在(0,+∞)上递增,
所以对x∈(0,+∞)恒成立,
对x∈(0,+∞)恒成立,
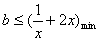
所以只需
因为x>0,所以,当且仅当时取等号,
所以
所以b的取值范围为
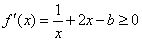
(2)当a=1,b=-1时,f(x)=lnx-x2+x,其定义域是(0,+∞),
所以
因为x>0,所以0<x<1时,f′(x)>0;当x>1时,f′(x)<0,
所以函数f(x)在区间(0,1)上单调递增,在区间(1,+∞)上单调递减,
所以当x=1时,函数f(x)取得最大值,其值为f(1)=ln1-12+1=0;
当x≠1时,f(x)<f(1),即f(x)<0;
所以函数f(x)只有一个零点.
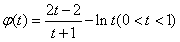
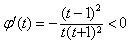
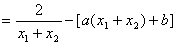
(3)由已知得,即
两式相减,得

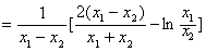
及2x0=x1+x2,得





,且
因为
所以ψ(t)在(0,1)上递减,所以ψ(t)>ψ(1)=0,
因为x1<x2
所以f′(x0)<0。
练习册系列答案
相关习题

科目:高中数学 来源: 题型:

已知函数f(x)=
1
3
x3-
3
2
ax2-(a-3)x+b

(1)若函数f(x)在P(0,f(0))的切线方程为y=5x+1,求实数a,b的值:
(2)当a<3时,令g(x)=
f′(x)
x
,求y=g(x)在[l,2]上的最大值.

查看答案和解析>>

科目:高中数学 来源: 题型:

已知函数f(x)=
1
2
x2-alnx
的图象在点P(2,f(2))处的切线方程为l:y=x+b
(1)求出函数y=f(x)的表达式和切线l的方程;
(2)当x∈[
1
e
,e]
时(其中e=2.71828…),不等式f(x)<k恒成立,求实数k的取值范围.

查看答案和解析>>

科目:高中数学 来源: 题型:

已知函数f(x)=lnx,g(x)=
12
x2+a
(a为常数),直线l与函数f(x)、g(x)的图象都相切,且l与函数f(x)的图象的切点的横坐标为1.
(1)求直线l的方程及a的值;
(2)当k>0时,试讨论方程f(1+x2)-g(x)=k的解的个数.

查看答案和解析>>

科目:高中数学 来源: 题型:

已知函数f(x)=
13
x3+x2+ax

(1)讨论f(x)的单调性;
(2)设f(x)有两个极值点x1,x2,若过两点(x1,f(x1)),(x2,f(x2))的直线l与x轴的交点在曲线y=f(x)上,求a的值.

查看答案和解析>>

科目:高中数学 来源: 题型:

已知函数f(x)=x3-
32
ax2+b
,a,b为实数,x∈R,a∈R.
(1)当1<a<2时,若f(x)在区间[-1,1]上的最小值、最大值分别为-2、1,求a、b的值;
(2)在(1)的条件下,求经过点P(2,1)且与曲线f(x)相切的直线l的方程;
(3)试讨论函数F(x)=(f′(x)-2x2+4ax+a+1)•ex的极值点的个数.

查看答案和解析>>

同步练习册答案