精英家教网 > 高中数学 > 题目详情

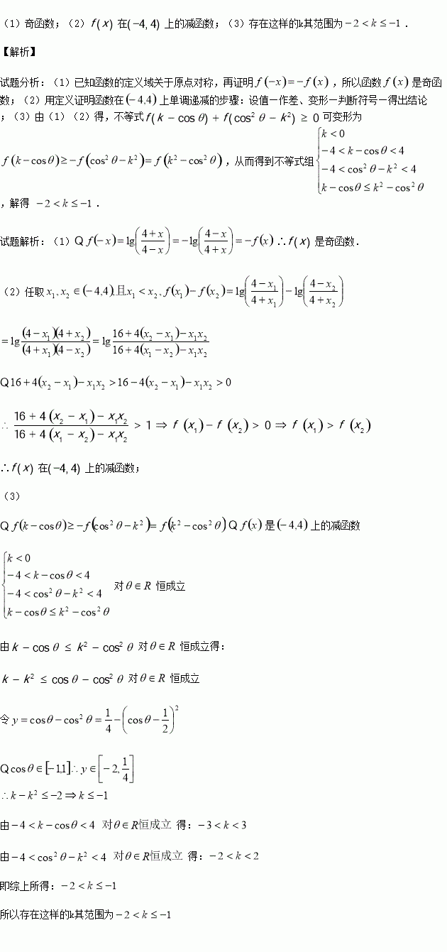
已知函数,其中

(1)判断并证明函数的奇偶性;

(2)判断并证明函数上的单调性;

(3)是否存在这样的负实数,使对一切恒成立,若存在,试求出取值的集合;若不存在,说明理由

练习册系列答案
相关习题

科目:高中数学 来源:2015-2016学年陕西省西安市高二下期中数学试卷(解析版) 题型:解答题

已知曲线C1:,曲线C2:

(1)指出C1,C2各是什么曲线,并说明C1与C2公共点的个数;

(2)若把C1,C2上各点的纵坐标都压缩为原来的一半,分别得到曲线,写出的参数方程.公共点的个数和C1与C2公共点的个数是否相同?说明你的理由.

查看答案和解析>>

科目:高中数学 来源:2016届陕西西北工大附中高三下第六次训练文数学卷(解析版) 题型:选择题

设命题P:,则

A. B.

C. D.

查看答案和解析>>

科目:高中数学 来源:2016届陕西西北工大附中高三下第六次训练理数学卷(解析版) 题型:选择题

设函数是奇函数的导函数,,当时,,则使得成立的的取值范围是( )

A. B.

C. D.

查看答案和解析>>

科目:高中数学 来源:2016届陕西西北工大附中高三下第六次训练理数学卷(解析版) 题型:选择题

一个正方体被一个平面截去一部分后,剩余部分的三视图如右图,则截去部分体积与剩余部分体积的比值为( )

A. B. C. D.

查看答案和解析>>

科目:高中数学 来源:2015-2016学年天津市等六校高一上期末数学试卷(解析版) 题型:填空题

已知是奇函数,满足,则= .

查看答案和解析>>

科目:高中数学 来源:2015-2016学年天津市等六校高一上期末数学试卷(解析版) 题型:选择题

函数的大致图象是( )

查看答案和解析>>

科目:高中数学 来源:2015-2016学年福建省高一上学期期末考试数学试卷(解析版) 题型:解答题

下图为一简单组合体,其底面ABCD为正方形,PD⊥平面ABCD,EC∥PD,且PD=AD=2EC=2.

(1)请画出该几何体的三视图;

(2)求四棱锥B—CEPD的体积.

查看答案和解析>>

科目:高中数学 来源:2015-2016学年湖北省孝感市六校高一上期末文科数学试卷(解析版) 题型:填空题

某地一天中6时至14时的温度变化曲线近似满足函数T=Asin(ωt+φ)+B (其中<φ<π)6时至14时期间的温度变化曲线如图所示,它是上述函数的半个周期的图象,那么图中曲线对应的函数解析式是

查看答案和解析>>

同步练习册答案