精英家教网 > 高中数学 > 题目详情
如图,A、B、C、D都在同一个与水平面垂直的平面内,B、D为两岛上的两座灯塔的塔顶。测量船于水面A处测得点B和点D的仰角分别为75°,30°,于水面C处测得点B和点D的仰角均为60°,AC=0.1km。试探究图中B、D间的距离与另外哪两点的距离相等,并求B、D的距离。(计算结果精确到0. 01km,≈1.414,≈2. 449)
解:在△ACD中,∠DAC=30°,∠ADC=60°-∠DAC=30°
所以CD=AC=0.1
又∠BCD=180°-60°-60°=60°
故CB是△CAD底边AD的中垂线
所以BD=BA
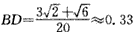
中,

因此,(km)
故B、D的距离约为0. 33km。
练习册系列答案
相关习题

科目:高中数学 来源: 题型:

12、如图,A,B,C,D四点都在平面a,b外,它们在a内的射影A1,B1,C1,D1是平行四边形的四个顶点,在b内的射影A2,B2,C2,D2在一条直线上,求证:ABCD是平行四边形.

查看答案和解析>>

科目:高中数学 来源: 题型:

精英家教网如图,A,B,C,D为空间四点,在△ABC中,AB=2,AC=BC=
2
.等边三角形ADB以AB为轴运动.当CD=
 
时,面ACD⊥面ADB.

查看答案和解析>>

科目:高中数学 来源: 题型:

精英家教网如图,A,B,C,D为空间四点.在△ABC中,AB=2,AC=BC=
2

等边三角形ADB以AB为轴运动.
(Ⅰ)当平面ADB⊥平面ABC时,求CD;
(Ⅱ)当△ADB转动时,是否总有AB⊥CD?证明你的结论.

查看答案和解析>>

科目:高中数学 来源: 题型:

如图,A、B、C、D是某煤矿的四个采煤点,l是公路,图中所标线段为道路,ABQP、BCRQ、CDSR近似于正方形.已知A、B、C、D四个采煤点每天的采煤量之比约为5:1:2:3,运煤的费用与运煤的路程、所运煤的重量都成正比.现要从P、Q、R、S中选出一处设立一个运煤中转站,使四个采煤点的煤运到中转站的费用最少,则地点应选在(  )

查看答案和解析>>

科目:高中数学 来源: 题型:

(2013•房山区二模)如图,A,B,C,D是⊙O上的四个点,过点B的切线与DC的延长线交于点E.若∠BCD=110°,则∠DBE=(  )

查看答案和解析>>

同步练习册答案