精英家教网 > 高中数学 > 题目详情

已知椭圆的中心在原点,焦点在轴上,一个顶点为,且其右焦点到直线的距离为3.

    (1)求椭圆方程;

    (2)设直线过定点,与椭圆交于两个不同的点,且满足,求直线的方程.


那么,∴椭圆方程为.

(2)若直线斜率不存在时,直线即为轴,此时为椭圆的上下顶点,

,不满足条件;   

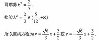
故可设直线:,与椭圆联立,

消去得: .

,得.     

由韦达定理得

       

的中点,则

,则有.


练习册系列答案
相关习题

科目:高中数学 来源: 题型:


函数,过曲线上的点的切线方程为.

    (1)若时有极值,求的表达式;

    (2)若函数在区间[-2,1]上单调递增,求实数b的取值范围.

查看答案和解析>>

科目:高中数学 来源: 题型:


盒子中装有四张大小形状均相同的卡片,卡片上分别标有数其中是虚数单位.称“从盒中随机抽取一张,记下卡片上的数后并放回”为一次试验(设每次试验的结果互不影响).

(1)求事件 “在一次试验中,得到的数为虚数”的概率与事件 “在四次试验中,

至少有两次得到虚数” 的概率

(2)在两次试验中,记两次得到的数分别为,求随机变量的分布列与数学期望

查看答案和解析>>

科目:高中数学 来源: 题型:


双曲线C: 的离心率为,则C的渐近线方程为(     )

A、y=±x        (B)y=±x          (C)y=±x        (D)y=±x

查看答案和解析>>

科目:高中数学 来源: 题型:


已知F是双曲线的左焦点,是双曲线右支上的动点,则的最小值为              

查看答案和解析>>

科目:高中数学 来源: 题型:


函数确定,则方程的实数解有(    )

A.0个            B.1个          C.2个         D.3个

查看答案和解析>>

科目:高中数学 来源: 题型:


a是函数的零点,若,则的值满足

A.  B.  C.   D.的符号不确定

查看答案和解析>>

科目:高中数学 来源: 题型:


 向量

A.         B.         C.           D.

查看答案和解析>>

科目:高中数学 来源: 题型:


在某次测量中得到的样本数据如下:82, 84, 84, 86, 86, 86, 88, 88, 88, 88.若样本数据恰好是样本数据都加2后所得数据,则,两样本的下列数字特征对应相同的是(  )

A.众数              B.平均数           C.中位数           D.标准差

查看答案和解析>>

同步练习册答案