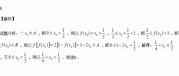
精英家教网 > 高中数学 > 题目详情

设集合,函数,且,则的取值范围是( )

A. B.

C. D.

练习册系列答案
相关习题

科目:高中数学 来源: 题型:选择题

17.双曲线x2-my2=1的实轴长是虚轴长的2倍,则m=(  )
A.4B.2C.$\frac{1}{2}$D.$\frac{1}{4}$

查看答案和解析>>

科目:高中数学 来源:2017届河北武邑中学高三上周考8.14数学(文)试卷(解析版) 题型:填空题

直线与直线的夹角是

查看答案和解析>>

科目:高中数学 来源:2017届河北武邑中学高三上周考8.14数学(理)试卷(解析版) 题型:解答题

已知函数,且的定义域为区间

(1)求的解析式;

(2)判断的单调性;

(3)若方程有解,求的取值范围.

查看答案和解析>>

科目:高中数学 来源:2017届河北武邑中学高三上周考8.14数学(理)试卷(解析版) 题型:选择题

若对正常数和任意实数,等式成立,则下列说法正确的是( )

A.函数是周期函数,最小正周期为

B.函数是奇函数,但不是周期函数

C.函数是周期函数,最小正周期为

D.函数是偶函数,但不是周期函数

查看答案和解析>>

科目:高中数学 来源:2017届河北武邑中学高三上周考8.14数学(理)试卷(解析版) 题型:选择题

函数的单调递减区间是( )

A. B.

C. D.

查看答案和解析>>

科目:高中数学 来源:2017届河北沧州一中高三上第七周周测数学试卷(解析版) 题型:填空题

如图,在等腰直角三角形中,,点分别是的中点,点(包括边界)内任一点.则的取值范围为_____________.

查看答案和解析>>

科目:高中数学 来源: 题型:选择题

1.已知抛物线y2=2px(p>0)的焦点F到其准线的距离是2,那么p等于(  )
A.1B.2C.3D.4

查看答案和解析>>

科目:高中数学 来源: 题型:选择题

2.已知命题p:函数f(x)=ln(ex-x+a2-10)(e为自然对数的底数)的值域为R,命题q:${∫}_{0}^{a}$($\sqrt{{a}^{2}-{x}^{2}}$+$\frac{1}{x+1}$)dx>$\frac{π}{4}$+ln2.若命题“p∨q”为真命题,命题“p∧q”为假命题,那么实数a的取值范围是(  )
A.(1,3]B.(-∞,-3)C.[-3,1]∪(3,+∞)D.(-∞,1]∪(3,+∞)

查看答案和解析>>

同步练习册答案