精英家教网 > 高中数学 > 题目详情
已知函数f(x)=x2-8lnx,g(x)=-x2+14x。
(1)求函数f(x)在点(1,f(1))处的切线方程;
(2)若函数f(x)与g(x)在区间(a,a+1)上均为增函数,求a的取值范围。
(3)若方程f(x)=g(x)+m有唯一解,试求实数m的值。
解:(1)因为
所以切线的斜率

故所求切线方程为

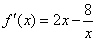
(2)因为
又x>0,所以当x>2时,
当0<x<2时,
上递增
在(0,2)上递减

所以上递增
上递减
欲f(x)与在区间上均为增函数

解得
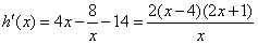
(3)原方程等价于

则原方程即为
因为当时原方程有唯一解
所以函数的图象在y轴右侧有唯一的交点
且x>0
所以当x>4时,
当0<x<4时,
上递增
在(0,4)上递减
故h(x)在x=4处取得最小值
从而当时原方程有唯一解的充要条件是
练习册系列答案
相关习题

科目:高中数学 来源: 题型:

精英家教网已知函数f(x)=Asin(ωx+φ)(x∈R,A>0,ω>0,|φ|<
π
2
)的部分图象如图所示,则f(x)的解析式是(  )
A、f(x)=2sin(πx+
π
6
)(x∈R)
B、f(x)=2sin(2πx+
π
6
)(x∈R)
C、f(x)=2sin(πx+
π
3
)(x∈R)
D、f(x)=2sin(2πx+
π
3
)(x∈R)

查看答案和解析>>

科目:高中数学 来源: 题型:

(2012•深圳一模)已知函数f(x)=
1
3
x3+bx2+cx+d
,设曲线y=f(x)在与x轴交点处的切线为y=4x-12,f′(x)为f(x)的导函数,且满足f′(2-x)=f′(x).
(1)求f(x);
(2)设g(x)=x
f′(x)
 , m>0
,求函数g(x)在[0,m]上的最大值;
(3)设h(x)=lnf′(x),若对一切x∈[0,1],不等式h(x+1-t)<h(2x+2)恒成立,求实数t的取值范围.

查看答案和解析>>

科目:高中数学 来源: 题型:

(2011•上海模拟)已知函数f(x)=(
x
a
-1)2+(
b
x
-1)2,x∈(0,+∞)
,其中0<a<b.
(1)当a=1,b=2时,求f(x)的最小值;
(2)若f(a)≥2m-1对任意0<a<b恒成立,求实数m的取值范围;
(3)设k、c>0,当a=k2,b=(k+c)2时,记f(x)=f1(x);当a=(k+c)2,b=(k+2c)2时,记f(x)=f2(x).
求证:f1(x)+f2(x)>
4c2
k(k+c)

查看答案和解析>>

科目:高中数学 来源:上海模拟 题型:解答题

已知函数f(x)=(
x
a
-1)2+(
b
x
-1)2,x∈(0,+∞)
,其中0<a<b.
(1)当a=1,b=2时,求f(x)的最小值;
(2)若f(a)≥2m-1对任意0<a<b恒成立,求实数m的取值范围;
(3)设k、c>0,当a=k2,b=(k+c)2时,记f(x)=f1(x);当a=(k+c)2,b=(k+2c)2时,记f(x)=f2(x).
求证:f1(x)+f2(x)>
4c2
k(k+c)

查看答案和解析>>

科目:高中数学 来源:深圳一模 题型:解答题

已知函数f(x)=
1
3
x3+bx2+cx+d
,设曲线y=f(x)在与x轴交点处的切线为y=4x-12,f′(x)为f(x)的导函数,且满足f′(2-x)=f′(x).
(1)求f(x);
(2)设g(x)=x
f′(x)
 , m>0
,求函数g(x)在[0,m]上的最大值;
(3)设h(x)=lnf′(x),若对一切x∈[0,1],不等式h(x+1-t)<h(2x+2)恒成立,求实数t的取值范围.

查看答案和解析>>

同步练习册答案