精英家教网 > 高中数学 > 题目详情
设数列{an}的前n项和为Sn,且
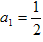
(1)求a1,a2
(2)求证:数列是等差数列,并求Sn的表达式.

(1)解:当n=1时,
由已知得
解得
同理,可解得   
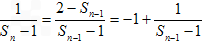
(2)证明 :由题设
当n≥2(n∈N*)时,an=Sn-Sn-1代入上式,得



是首项为,公差为-1的等差数列,

练习册系列答案
  • 快乐假期行寒假用书系列答案
  • 启航文化赢在假期寒假济南出版社系列答案
  • 快乐假期智趣寒假花山文艺出版社系列答案
  • 大联考期末复习合订本系列答案
  • 新题型全能测评课课练天津科学技术出版社系列答案
  • 浙江新期末系列答案
  • 世超金典假期乐园寒假系列答案
  • 通城1典中考复习方略系列答案
  • 特优好卷全能试题系列答案
  • 世纪金榜金榜AB卷系列答案
  • 年级 高中课程 年级 初中课程
    高一 高一免费课程推荐! 初一 初一免费课程推荐!
    高二 高二免费课程推荐! 初二 初二免费课程推荐!
    高三 高三免费课程推荐! 初三 初三免费课程推荐!
    相关习题

    科目:高中数学 来源: 题型:

    设数列{an}的前n项的和为Sn,且Sn=3n+1.
    (1)求数列{an}的通项公式;
    (2)设bn=an(2n-1),求数列{bn}的前n项的和.

    查看答案和解析>>

    科目:高中数学 来源: 题型:

    设数列an的前n项的和为Sna1=
    3
    2
    Sn=2an+1-3

    (1)求a2,a3
    (2)求数列an的通项公式;
    (3)设bn=(2log
    3
    2
    an+1)•an
    ,求数列bn的前n项的和Tn

    查看答案和解析>>

    科目:高中数学 来源: 题型:

    设数列{an}的前n项和Sn=2an+
    3
    2
    ×(-1)n-
    1
    2
    ,n∈N*
    (Ⅰ)求an和an-1的关系式;
    (Ⅱ)求数列{an}的通项公式;
    (Ⅲ)证明:
    1
    S1
    +
    1
    S2
    +…+
    1
    Sn
    10
    9
    ,n∈N*

    查看答案和解析>>

    科目:高中数学 来源: 题型:

    不等式组
    x≥0
    y≥0
    nx+y≤4n
    所表示的平面区域为Dn,若Dn内的整点(整点即横坐标和纵坐标均为整数的点)个数为an(n∈N*
    (1)写出an+1与an的关系(只需给出结果,不需要过程),
    (2)求数列{an}的通项公式;
    (3)设数列an的前n项和为SnTn=
    Sn
    5•2n
    ,若对一切的正整数n,总有Tn≤m成立,求m的范围.

    查看答案和解析>>

    科目:高中数学 来源: 题型:

    (2013•郑州一模)设数列{an}的前n项和Sn=2n-1,则
    S4
    a3
    的值为(  )

    查看答案和解析>>

    同步练习册答案