精英家教网 > 高中数学 > 题目详情
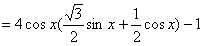
已知函数f(x)=4cosxsin(x+)-1,
(Ⅰ)求f(x)的最小正周期:
(Ⅱ)求f(x)在区间上的最大值和最小值。
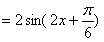
解:(Ⅰ)因为




所以f(x)的最小正周期为π。
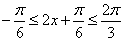
(Ⅱ)因为,所以
于是,当,即时,f(x)取得最大值2;
,即时,f(x)取得最小值-1。
练习册系列答案
相关习题

科目:高中数学 来源: 题型:

已知函数f(x)=
4(a-3)x+a+
1
2
(x<0)
ax,(x≥0)
,若函数f(x)的图象经过点(3,
1
8
),则a=
 
;若函数f(x)满足对任意x1≠x2
f(x1)-f(x2)
x1-x2
<0
都有成立,那么实数a的取值范围是
 

查看答案和解析>>

科目:高中数学 来源: 题型:

已知函数f(x)=
4-x2
|x-3|-3
,则它是(  )
A、奇函数B、偶函数
C、既奇又偶函数D、非奇非偶函数

查看答案和解析>>

科目:高中数学 来源: 题型:

已知函数f(x)=
4-x2(x>0)
2(x=0)
1-2x(x<0)

(1)求f(a2+1)(a∈R),f(f(3))的值;
(2)当-4≤x<3时,求f(x)取值的集合.

查看答案和解析>>

科目:高中数学 来源: 题型:

已知函数f(x)=
4•2x+2
2x+1
+x•cosx (-1≤x≤1)
,且f(x)存在最大值M和最小值N,则M、N一定满足(  )

查看答案和解析>>

科目:高中数学 来源: 题型:

已知函数f(x)=
4-x2(x>0)
2(x=0)
1-2x(x<0)

(1)画出函数f(x)图象;
(2)求f(a2+1)(a∈R),f(f(3))的值;
(3)当-4≤x<3时,求f(x)取值的集合.

查看答案和解析>>

同步练习册答案