精英家教网 > 高中数学 > 题目详情

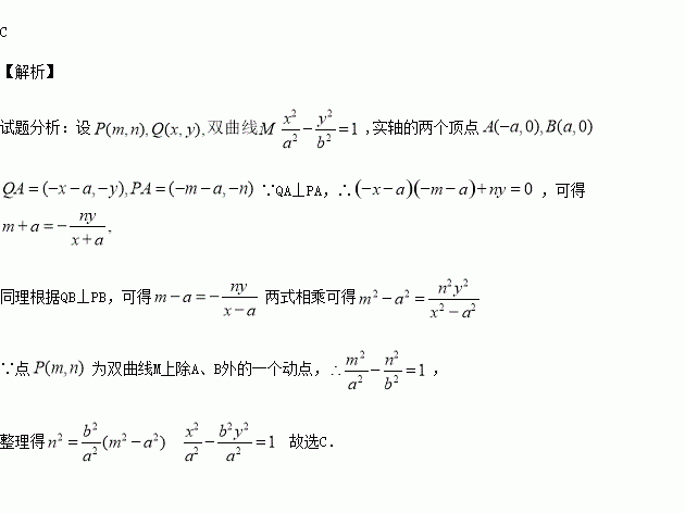
双曲线的实轴的两个端点为,点为双曲线上除外的一个动点,若动点满足,则动点的轨迹为( )

(A)圆 (B)椭圆 (C)双曲线 (D)抛物线

练习册系列答案
相关习题

科目:高中数学 来源:2017届江西省、宜春一中高三7月联考文科数学试卷(解析版) 题型:填空题

若曲线处与直线相切,则

查看答案和解析>>

科目:高中数学 来源:2015-2016学年安徽省高一下期末数学试卷(解析版) 题型:解答题

已知数列的前项和为,且.

(1)证明:数列是等差数列,并求出数列的通项公式;

(2)求数列的前项和为.

查看答案和解析>>

科目:高中数学 来源:2017届广州省惠州市高三第一次调研文科数学试卷(解析版) 题型:解答题

【选修4-5:不等式选讲】

设函数

(Ⅰ)若的解集为,求实数的值;

(Ⅱ)当时,若存在,使得不等式成立,求实数的取值范围.

查看答案和解析>>

科目:高中数学 来源:2017届广州省惠州市高三第一次调研文科数学试卷(解析版) 题型:解答题

已知函数的部分图像如图所示.

(Ⅰ)求函数的解析式,并写出的单调减区间;

(Ⅱ)已知的内角分别是为锐角,且的值.

查看答案和解析>>

科目:高中数学 来源:2017届广州省惠州市高三第一次调研文科数学试卷(解析版) 题型:选择题

命题“任意”为真命题的一个充分不必要条件是( )

(A) (B) (C) (D)

查看答案和解析>>

科目:高中数学 来源:2015-2016学年黑龙江鹤岗一中高二下期末理科数学试卷(解析版) 题型:解答题

已知函数

(1)若,求曲线在点处的切线方程;

(2)若,求在区间 上的最小值;

(3)若函数有两个极值点,求证:.

查看答案和解析>>

科目:高中数学 来源:2015-2016学年黑龙江鹤岗一中高二下期末理科数学试卷(解析版) 题型:选择题

,则( )

A. B. C. D.

查看答案和解析>>

科目:高中数学 来源:2016届北京市大兴区高三4月统一练习理科数学试卷(解析版) 题型:选择题

将函数y=sin2x的图像向左平移个单位得到函数的图像,则的一个增区间是( )

A. B. C. D.

查看答案和解析>>

同步练习册答案