精英家教网 > 高中数学 > 题目详情

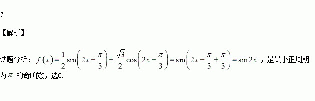
是( )

A.最小正周期为的偶函数 B.最小正周期为的奇函数

C.最小正周期为的奇函数 D.最小正周期为的偶函数

练习册系列答案
相关习题

科目:高中数学 来源:2015-2016学年河北省高一6月月考数学试卷(解析版) 题型:填空题

设m,n∈R,若直线与x轴相交于点A,与y轴相交于点B,且与圆相交所得弦的长为2,O为坐标原点,则△AOB面积的最小值为________.

查看答案和解析>>

科目:高中数学 来源:2015-2016学年河南南阳一中高二下第二次月考理科数学卷(解析版) 题型:解答题

为考察高中生的性别与是否喜欢体育课程之间的关系, 在我市某普通中学高中生中随机抽取名学生, 得到如下列联表:

喜欢体育课程

不喜欢体育课程

合计

合计

(1)根据独立性检验的基本思想, 约有多大的把握认为“性别与喜欢体育课之间有关系” ?

(2)若采用分层抽样的方法从不喜欢体育课的学生中随机抽取人, 则男生和女生抽取的人数分别是多少?

(3)从(2)随机抽取的人中,再随机抽取人, 该人中女生的人数记为,求的数学期望.

查看答案和解析>>

科目:高中数学 来源:2015-2016学年河南南阳一中高二下第二次月考理科数学卷(解析版) 题型:选择题

,则除以的余数为( )

A. B. C. D.

查看答案和解析>>

科目:高中数学 来源:2015-2016学年山东省高一6月月考数学试卷(解析版) 题型:解答题

已知,求

查看答案和解析>>

科目:高中数学 来源:2015-2016学年山东省高一6月月考数学试卷(解析版) 题型:选择题

已知,则方向上的射影的数量为( )

A. B. C. D.

查看答案和解析>>

科目:高中数学 来源:2016届安徽省高三下学期冲刺模拟文科数学A卷(解析版) 题型:解答题

选修4-5:不等式选讲

已知函数.

(1)若时,解不等式的解集;

(2)如果,求的取值范围.

查看答案和解析>>

科目:高中数学 来源:2016届安徽省高三下学期冲刺模拟文科数学A卷(解析版) 题型:选择题

已知数列的各项均为正数,其前项和为,若是公差为-1的等差数列,且,则等于( )

A. B. C. D.

查看答案和解析>>

科目:高中数学 来源:2016届安徽省高三下学期冲刺模拟文科数学C卷(解析版) 题型:填空题

已知,若,则

查看答案和解析>>

同步练习册答案