【答案】
分析:由线段A
1M所在平面AD
1A
1与B
1C所在平面BCC
1B
1互相平行,且直线A
1M与B
1C不平行,知线段A
1M与B
1C所在直线为异面直线;设正方体ABCD-A
1B
1C
1D
1的棱长为2,以DA为x轴,以DC为y轴,以DD
1为z轴,建立空间直角坐标系,利用向量法能够得到对角线BD
1⊥平面AB
1C,平面AMC⊥平面AB
1C,直线A
1M与平面AB
1C不平行.
解答:
解:∵线段A
1M所在平面AD
1A
1与B
1C所在平面BCC
1B
1互相平行,
且直线A
1M与B
1C不平行,
∴线段A
1M与B
1C所在直线为异面直线,
故①正确;
设正方体ABCD-A
1B
1C
1D
1的棱长为2,以DA为x轴,以DC为y轴,以DD
1为z轴,建立空间直角坐标系,
则A(2,0,0),B(2,2,0),C(0,2,0),B
1(2,2,2),M(0,0,1),D
1(0,0,2),
∴

,

,

,

,
∴

=0-4+4=0,

=4-4+0=0,
∴

,

,
∴BD
1⊥AB
1,BD
1⊥AC,
∴对角线BD
1⊥平面AB
1C,
故②正确;
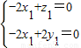
设平面AMC的法向量为

=(x
1,y
1,z
1),则

,

,
∴

,∴

=(1,1,2),
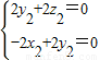
设平面AB
1C的法向量为

=(x
2,y
2,z
2),则

,

=0,
∴

,∴

=(1,1,-1),
∵

=1+1-2=0,
∴平面AMC⊥平面AB
1C,
故③正确;
∵A
1(2,0,2),M(0,0,1),
∴

,
∵

=-2+0+1=-1≠0,
∴直线A
1M与平面AB
1C不平行,
故④不正确.
故答案为:①②③.
点评:本题考查异面直线的判断,直线与平面垂直、平面与平面垂直、直线与平面平行的判断,解题时要认真审题,仔细解答,注意向量法的合理运用.