精英家教网 > 高中数学 > 题目详情

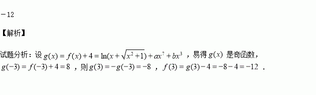
已知函数,其中为常数,若,则

练习册系列答案
相关习题

科目:高中数学 来源:2016届宁夏高三五模考试数学(文)试卷(解析版) 题型:填空题

抛物线的准线方程________.

查看答案和解析>>

科目:高中数学 来源:2016届湖南长沙市高三月考八数学(文)试卷(解析版) 题型:解答题

,在平面直角坐标系中,已知向量,向量,动点的轨迹为.

(1)求轨迹的方程,并说明该方程所表示曲线的形状;

(2)已知,证明:存在圆心在原点的圆,使得该圆的任意一条切线与轨迹恒有两个交点,且为坐标原点),并求该圆的方程.

查看答案和解析>>

科目:高中数学 来源:2016届湖南长沙市高三月考八数学(文)试卷(解析版) 题型:选择题

设复数其中,则的值为( )

A. B. C. D.

查看答案和解析>>

科目:高中数学 来源:2016届湖南长沙市高三月考八数学(理)试卷(解析版) 题型:解答题

已知椭圆的一个焦点为,且该椭圆过定点.

(1)求椭圆的标准方程;

(2)设点,过点作直线与椭圆交于两点,且,以为邻边作平行四边形,求对角线长度的最小值.

查看答案和解析>>

科目:高中数学 来源:2016届湖南长沙市高三月考八数学(理)试卷(解析版) 题型:选择题

某几何体的三视图如图所示,若该几何体的体积为,则( )

A. B. C. D.

查看答案和解析>>

科目:高中数学 来源:2016届湖南长沙市高三月考八数学(理)试卷(解析版) 题型:选择题

命题“存在”的否定是( )

A.不存在 B.存在

C.对任意的 D.对任意的

查看答案和解析>>

科目:高中数学 来源:2017届湖北黄石市高三9月调研数学(文)试卷(解析版) 题型:选择题

“牟合方盖”是我国古代数学家刘徽在研究球的体积的过程中构造的一个和谐优美的几何体.它由完全相同的四个曲面构成,相对的两个曲面在同一个圆柱的侧面上,好似两个扣合(牟合)在一起的方形伞(方盖).其直观图如下左图,图中四边形是为体现其直观性所作的辅助线.其实际直观图中四边形不存在,当其正视图和侧视图完全相同时,它的正视图和俯视图分别可能是( )

A. B. C. D.

查看答案和解析>>

科目:高中数学 来源:2017届山东枣庄三中高三9月质检数学(理)试卷(解析版) 题型:填空题

查看答案和解析>>

同步练习册答案