精英家教网 > 高中数学 > 题目详情

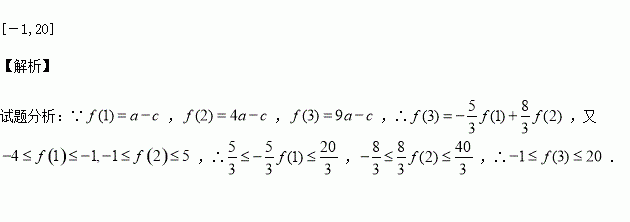
已知,且,则的取值范围是

练习册系列答案
相关习题

科目:高中数学 来源:2015-2016学年黑龙江大庆一中高二下第二次段考理数学卷(解析版) 题型:解答题

如图,有一块半椭圆形钢板,其长半轴长为2r,短半轴长为r.计划将此钢板切割成等腰梯形的形状,下底AB是半椭圆的短轴,上底CD的端点在椭圆上.记CD=2x,梯形面积为S.

(1)求面积S以x为自变量的函数式,并写出其定义域;

(2)求面积S的最大值.

查看答案和解析>>

科目:高中数学 来源:2015-2016学年广东东莞东华高中高一4月月考数学试卷(解析版) 题型:选择题

的值等于 ( )

A.- B. C.- D.

查看答案和解析>>

科目:高中数学 来源:2015-2016学年广东东莞东华高中高二4月月考理科数学卷(解析版) 题型:选择题

中,角所对的边分别为.若角成等差数列,边成等比数列,则的值为

A. B. C. D.

查看答案和解析>>

科目:高中数学 来源:2015-2016学年广东中山一中高二上第二次段考数学卷(解析版) 题型:解答题

某渔业公司今年初用98万元购进一艘渔船用于捕捞,第一年需各种费用12万元,从第二年开始包括维修费在内,每年所需费用均比上一年增加4万元,该船每年捕捞的总收入为50万元.

(1)该船捕捞几年开始盈利(即总收入减去成本及所有费用之差为正值)?

(2)该船捕捞若干年后,处理方案有两种:

①当年平均盈利达到最大值时,以26万元的价格卖出;

②当盈利总额达到最大值时,以8万元的价格卖出.

问哪一种方案较为合算,请说明理由.

查看答案和解析>>

科目:高中数学 来源:2015-2016学年广东中山一中高二上第二次段考数学卷(解析版) 题型:选择题

已知数列为等差数列,若且它的前项和有最大值,则使成立的的最大值为

A. B. C. D.

查看答案和解析>>

科目:高中数学 来源:2015-2016学年广东中山一中高二上第二次段考数学卷(解析版) 题型:选择题

则下列不等式:① ;②;③;④中正确的是

A. ①② B. ②③ C. ①④ D. ③④

查看答案和解析>>

科目:高中数学 来源:2015-2016学年黑龙江省高一上学期期末考试数学试卷(解析版) 题型:选择题

是R上的偶函数,且在上递增,若,那么的取值范围是( )

A. B. C. D.

查看答案和解析>>

科目:高中数学 来源:2015-2016学年江西省南昌市等高一上学期期末联考数学试卷(解析版) 题型:填空题

若集合,则集合中的元素个数为_________.

查看答案和解析>>

同步练习册答案