精英家教网 > 高中数学 > 题目详情

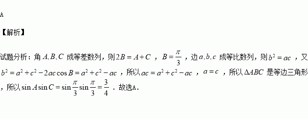
中,角所对的边分别为.若角成等差数列,边成等比数列,则的值为

A. B. C. D.

练习册系列答案
相关习题

科目:高中数学 来源:2015-2016学年安徽省高二下第一次段考文数学卷(解析版) 题型:选择题

已知数列的前项和为,且,可归纳猜想出的表达式为()

A. B. C. D.

查看答案和解析>>

科目:高中数学 来源:2015-2016学年广东东莞东华高中高一4月月考数学试卷(解析版) 题型:填空题

已知角的终边过点,则

查看答案和解析>>

科目:高中数学 来源:2015-2016学年广东东莞东华高中高二4月月考理科数学卷(解析版) 题型:解答题

已知各项不为零的数列的前项和为,且满足

(1)求数列的通项公式;

(2)设数列满足,求数列的前项和

查看答案和解析>>

科目:高中数学 来源:2015-2016学年广东东莞东华高中高二4月月考理科数学卷(解析版) 题型:选择题

已知分别是双曲线的左、右焦点,若关于渐近线的对称点恰落在以为圆心,为半径的圆上,则双曲线的离心率为( )

A. B. C. D.

查看答案和解析>>

科目:高中数学 来源:2015-2016学年广东东莞东华高中高二4月月考理科数学卷(解析版) 题型:选择题

已知,则( )

A. B. C. D.

查看答案和解析>>

科目:高中数学 来源:2015-2016学年广东中山一中高二上第二次段考数学卷(解析版) 题型:填空题

已知,且,则的取值范围是

查看答案和解析>>

科目:高中数学 来源:2015-2016学年黑龙江省高一上学期期末考试数学试卷(解析版) 题型:解答题

已知为锐角,=, g(x)=sinx+cos(x-

(1)求g(x)的最小正周期、对称中心.

(2)求函数在区间上的最大值、最小值及相应的的值。

查看答案和解析>>

科目:高中数学 来源:2015-2016学年江西省抚州市高一上学期期末质量检测数学试卷(解析版) 题型:选择题

,则( )

A.0 B. C. D.

查看答案和解析>>

同步练习册答案