精英家教网 > 高中数学 > 题目详情

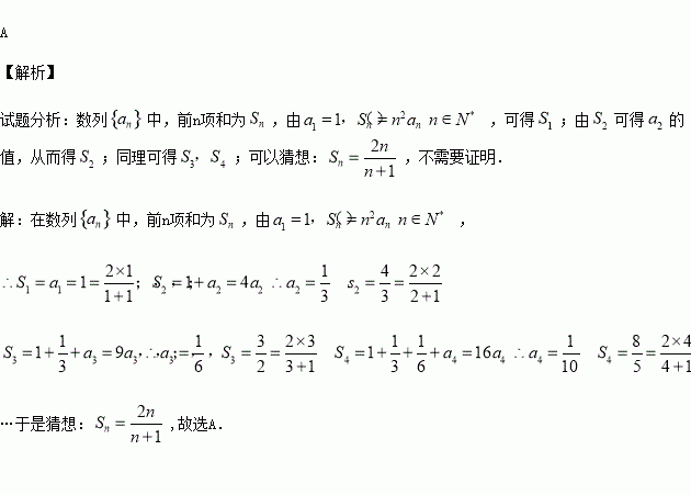
已知数列的前项和为,且,可归纳猜想出的表达式为()

A. B. C. D.

练习册系列答案
相关习题

科目:高中数学 来源:2016届海南师大附中高三第九次月考文科数学试卷(解析版) 题型:填空题

,则

查看答案和解析>>

科目:高中数学 来源:2015-2016学年福建省高一下周练数学试卷(解析版) 题型:解答题

一批产品中,有一级品个,二级品个,三级品个,用分层抽样的方法,从这批产品中抽取一个容量为的样本,写出抽样过程.

查看答案和解析>>

科目:高中数学 来源:2015-2016学年安徽省高二下第一次段考文数学卷(解析版) 题型:解答题

一个圆柱形圆木的底面半径为1,长为10,将此圆木沿轴所在的平面剖成两个部分,现要把其中一个部分加工成直四棱柱木梁,长度保持不变,底面为等腰梯形(如图所示,其中为圆心,在半圆上),设,木梁的体积为(单位:),表面积为(单位:).

(1)求关于的函数表达式;

(2)求的值,使体积最大;

(3)问当木梁的体积最大时,其表面积是否也最大?请说明理由.

查看答案和解析>>

科目:高中数学 来源:2015-2016学年安徽省高二下第一次段考文数学卷(解析版) 题型:填空题

用火柴棒摆“金鱼”,如图所示:

按照上面的规律,第条“金鱼”需要火柴棒的根数为__________.

查看答案和解析>>

科目:高中数学 来源:2015-2016学年安徽省高二下第一次段考文数学卷(解析版) 题型:选择题

正弦函数是奇函数(大前提),是正弦数(小前提),因此是奇函数(结论),以上推理()

A.结论正确 B.大前提错误 C.小前提错误 D.以上都不对

查看答案和解析>>

科目:高中数学 来源:2015-2016学年黑龙江大庆一中高二下第二次段考理数学卷(解析版) 题型:解答题

如图,有一块半椭圆形钢板,其长半轴长为2r,短半轴长为r.计划将此钢板切割成等腰梯形的形状,下底AB是半椭圆的短轴,上底CD的端点在椭圆上.记CD=2x,梯形面积为S.

(1)求面积S以x为自变量的函数式,并写出其定义域;

(2)求面积S的最大值.

查看答案和解析>>

科目:高中数学 来源:2015-2016学年黑龙江大庆一中高二下第二次段考理数学卷(解析版) 题型:选择题

复数为虚数单位)在复平面内对应点的坐标是

A.(3,3) B.(-1,3) C(3,-1) D.(2,4)

查看答案和解析>>

科目:高中数学 来源:2015-2016学年广东东莞东华高中高二4月月考理科数学卷(解析版) 题型:选择题

中,角所对的边分别为.若角成等差数列,边成等比数列,则的值为

A. B. C. D.

查看答案和解析>>

同步练习册答案