精英家教网 > 高中数学 > 题目详情

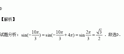
的值等于 ( )

A.- B. C.- D.

练习册系列答案
相关习题

科目:高中数学 来源:2015-2016学年福建省高一下周练数学试卷(解析版) 题型:选择题

已知一组数据的平均数是,方差是,那么另一组数据的平均数,方差是( )

A. B. C. D.

查看答案和解析>>

科目:高中数学 来源:2015-2016学年黑龙江大庆一中高二下第二次段考理数学卷(解析版) 题型:选择题

已知函数有极大值和极小值,则a的取值范围是( )

A. B.

C. D.

查看答案和解析>>

科目:高中数学 来源:2015-2016学年广东东莞东华高中高一4月月考数学试卷(解析版) 题型:填空题

已知角的终边过点,则

查看答案和解析>>

科目:高中数学 来源:2015-2016学年广东东莞东华高中高一4月月考数学试卷(解析版) 题型:选择题

若把函数的图象向左平移个单位后与函数的图象重合,则的值可能是 ( )

A. B. C. D.

查看答案和解析>>

科目:高中数学 来源:2015-2016学年广东东莞东华高中高二4月月考理科数学卷(解析版) 题型:解答题

已知各项不为零的数列的前项和为,且满足

(1)求数列的通项公式;

(2)设数列满足,求数列的前项和

查看答案和解析>>

科目:高中数学 来源:2015-2016学年广东东莞东华高中高二4月月考理科数学卷(解析版) 题型:选择题

已知分别是双曲线的左、右焦点,若关于渐近线的对称点恰落在以为圆心,为半径的圆上,则双曲线的离心率为( )

A. B. C. D.

查看答案和解析>>

科目:高中数学 来源:2015-2016学年广东中山一中高二上第二次段考数学卷(解析版) 题型:填空题

已知,且,则的取值范围是

查看答案和解析>>

科目:高中数学 来源:2015-2016学年江西省抚州市高一上学期期末质量检测数学试卷(解析版) 题型:解答题

已知的内角,向量 .

(1)求角的大小;

(2)若,求.

查看答案和解析>>

同步练习册答案