精英家教网 > 高中数学 > 题目详情

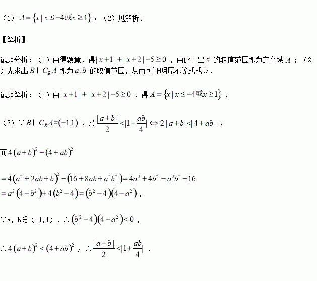
函数

(1)若,求函数的定义域

(2)设,当实数时,证明:

练习册系列答案
相关习题

科目:高中数学 来源:2015-2016学年江苏省泰兴市高一上学期期中考试数学试卷(解析版) 题型:填空题

已知集合,则

查看答案和解析>>

科目:高中数学 来源:2016届浙江省高三上学期期中文科数学试卷(解析版) 题型:填空题

函数的图像向左平移个单位,所得曲线的一部分如图所示,的周期为 的值为

查看答案和解析>>

科目:高中数学 来源:2016届山东省高三上开学考试理科数学试卷(解析版) 题型:选择题

设集合,则( )

A. B. C. D.

查看答案和解析>>

科目:高中数学 来源:2016届湖南省六校高三12月联考理科数学卷(解析版) 题型:解答题

已知的角的对边分别为,其面积,且;等差数列中,且,公差.数列的前项和为,且

(1)求数列的通项公式;

(2)设, 求数列的前项和

查看答案和解析>>

科目:高中数学 来源:2016届安徽省等高三第三次联考文科数学卷(解析版) 题型:选择题

为两条不同的直线,为一个平面,下列命题中为真命题的是( )

A.若,则

B.若,则

C.若,则

D.若,则

查看答案和解析>>

科目:高中数学 来源:2016届安徽省等高三第三次联考理科数学试卷(解析版) 题型:选择题

集合 ,则等于( )

A. B. C. D.

查看答案和解析>>

科目:高中数学 来源:2015-2016学年浙江慈溪中学高一7-12班上期中数学卷(解析版) 题型:填空题

,若函数在区间内有零点,则实数的取值范围为

查看答案和解析>>

科目:高中数学 来源:2015-2016学年黑龙江齐齐哈尔实验中学高一上期中数学卷(解析版) 题型:选择题

函数的单调减区间为( )

A. B. C. D.

查看答案和解析>>

同步练习册答案