精英家教网 > 高中数学 > 题目详情

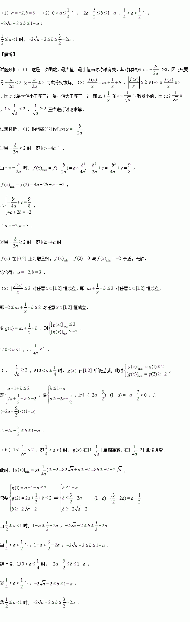
已知函数

(1)若,且上的最大值为,最小值为-2,试求的值;

(2)若,且对任意恒成立,求的取值范围.(用来表示)

练习册系列答案
相关习题

科目:高中数学 来源:2015-2016学年广东汕头市高一下学期期末数学试卷(解析版) 题型:解答题

在△ABC中,角A、B、C所对的边分别为,且满足=0.

(1)求角C的大小;

(2)若,求△ABC的面积的最大值.

查看答案和解析>>

科目:高中数学 来源:2017届河南新乡一中高三上学期周考9.18数学(文)试卷(解析版) 题型:选择题

已知曲线的焦点为,过点的直线与曲线交于两点,且,则的面积等于( )

A. B. C. D.

查看答案和解析>>

科目:高中数学 来源:2017届甘肃武威二中高三上学期月考二数学(文)试卷(解析版) 题型:选择题

已知函数,有以下命题:

①当时,函数上单调递增;

②当时,函数上有极大值;

③当时,函数上单调递减;

④当时,函数上有极大值,有极小值

其中不正确命题的序号是( )

A.①③ B.②③ C.①④ D.②④

查看答案和解析>>

科目:高中数学 来源:2017届甘肃武威二中高三上学期月考二数学(文)试卷(解析版) 题型:选择题

函数上的最小值为( )

A.0 B.1 C. D.

查看答案和解析>>

科目:高中数学 来源:2016届浙江稽阳联谊学校高三4月联考数学(文)试卷(解析版) 题型:填空题

为椭圆的左、右焦点,过右焦点的直线与椭圆交于两点,与轴交于点,且满足,则椭圆的离心率为

查看答案和解析>>

科目:高中数学 来源:2016届浙江稽阳联谊学校高三4月联考数学(文)试卷(解析版) 题型:选择题

已知是定义在上的奇函数,且上为增函数,如果对任意,任意恒成立,则实数的最大值是( )

A.-1 B. C. D.-3

查看答案和解析>>

科目:高中数学 来源:2016届浙江稽阳联谊学校高三4月联考数学(理)试卷(解析版) 题型:填空题

已知函数,则 ,若实数满足,则的最大值为

查看答案和解析>>

科目:高中数学 来源:2017届山东省高三第一次诊断数学(文)试卷(解析版) 题型:选择题

向量,若,则( )

A.2 B. C. D.

查看答案和解析>>

同步练习册答案