精英家教网 > 高中数学 > 题目详情

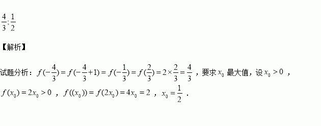
已知函数,则 ,若实数满足,则的最大值为

练习册系列答案
相关习题

科目:高中数学 来源:2016届陕西黄陵中学高三下二模考试数学(理)试卷(解析版) 题型:选择题

定义在上的函数满足,当时,,函数.若对任意,存在,不等式成立,则实数的取值范围是( )

A. B. C. D.

查看答案和解析>>

科目:高中数学 来源:2016届浙江稽阳联谊学校高三4月联考数学(文)试卷(解析版) 题型:解答题

已知函数

(1)若,且上的最大值为,最小值为-2,试求的值;

(2)若,且对任意恒成立,求的取值范围.(用来表示)

查看答案和解析>>

科目:高中数学 来源:2016届浙江稽阳联谊学校高三4月联考数学(文)试卷(解析版) 题型:选择题

已知函数(其中常数),则使得成立的的取值范围是( )

A. B.

C. D.

查看答案和解析>>

科目:高中数学 来源:2016届浙江稽阳联谊学校高三4月联考数学(理)试卷(解析版) 题型:解答题

中,角所对的边分别为,已知

(1)求的大小;

(2)若,求的最大值.

查看答案和解析>>

科目:高中数学 来源:2016届浙江稽阳联谊学校高三4月联考数学(理)试卷(解析版) 题型:选择题

已知双曲线的左焦点为,过点作双曲线的一条渐近线的垂线,垂足为,点在双曲线上,且,则双曲线的离心率为( )

A. B. C. D.

查看答案和解析>>

科目:高中数学 来源:2015-2016学年广东湛江一中高一下期末数学(理)试卷(解析版) 题型:选择题

若x是三角形的最小内角,则函数y=sinx+cosx﹣sinxcosx的最小值是( )

A. B. C.1 D.

查看答案和解析>>

科目:高中数学 来源:2017届山东省高三第一次诊断数学(文)试卷(解析版) 题型:解答题

在△中,角的对边分别是,已知

(1)求的值;

(2)若角为锐角,求的值及△的面积.

查看答案和解析>>

科目:高中数学 来源:2017届江西九江地区高三七校联考数学(文)试卷(解析版) 题型:解答题

若函数,在点处的斜率为

(1)求实数的值;

(2)求函数在区间上的最大值.

查看答案和解析>>

同步练习册答案