精英家教网 > 高中数学 > 题目详情
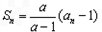
已知数列{an}的前n项和Sn,满足:三点共线(a为常数,且).
(Ⅰ)求{an}的通项公式;
(Ⅱ)设,若数列{bn}为等比数列,求a的值;
(Ⅲ)在满足条件(Ⅱ)的情形下,设,数列{cn}的前n项和为Tn,是否存在最小的整数m,使得任意的n均有成立?若存在,求出m的值;若不存在,请说明理由.
解:(Ⅰ)由已知可得
时,
是等比数列.
;          
(Ⅱ)由(Ⅰ)知,
为等比数列,则有

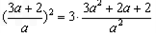
,解得
再将代入得成立,
所以
(III)证明:由(Ⅱ)知

易知{Tn}其单调递减,

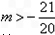
∴存在最小的整数
练习册系列答案
相关习题

科目:高中数学 来源: 题型:

19、已知数列{an}的前n项和Sn=n2(n∈N*),数列{bn}为等比数列,且满足b1=a1,2b3=b4
(1)求数列{an},{bn}的通项公式;
(2)求数列{anbn}的前n项和.

查看答案和解析>>

科目:高中数学 来源: 题型:

已知数列{an}的前n项和Sn=an2+bn(a、b∈R),且S25=100,则a12+a14等于(  )
A、16B、8C、4D、不确定

查看答案和解析>>

科目:高中数学 来源: 题型:

已知数列{an}的前n项和Sn=n2+n+1,那么它的通项公式为an=
 

查看答案和解析>>

科目:高中数学 来源: 题型:

13、已知数列{an}的前n项和为Sn=3n+a,若{an}为等比数列,则实数a的值为
-1

查看答案和解析>>

科目:高中数学 来源: 题型:

已知数列{an}的前n项和Sn满足Sn+1=kSn+2,又a1=2,a2=1.
(1)求k的值及通项公式an
(2)求Sn

查看答案和解析>>

同步练习册答案