精英家教网 > 高中数学 > 题目详情
已知数列{an},a1=1,前n项和为Sn,且点P(an,an+1)(n∈N*)在直线x-y+1=0上,则=( )
A.
B.
C.
D.
【答案】分析:由“P(an,an+1)(n∈N*)在直线x-y+1=0上”可得到数列的类型,再求其通项,求其前n项和,进而得到新数列的规律,选择合适的方法求新数列的和.
解答:解:∵点P(an,an+1)(n∈N*)在直线x-y+1=0上
∴an-an+1+1=0
∴数列{an}是以1为首项,以1为公差的等差数列.
∴an=n

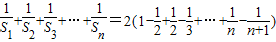
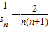
=
=
故选C
点评:本题主要是通过转化思想将解析几何问题转化为数列问题,来考查数列的通项公式及前n项和的求法.
练习册系列答案
相关习题

科目:高中数学 来源: 题型:

已知数列{an}满足
a1-1
2
+
a2-1
22
+…+
an-1
2n
=n2+n(n∈N*)

(I)求数列{an}的通项公式;
(II)求数列{an}的前n项和Sn

查看答案和解析>>

科目:高中数学 来源: 题型:

已知数列{an}满足a 1=
2
5
,且对任意n∈N*,都有
an
an+1
=
4an+2
an+1+2

(1)求证:数列{
1
an
}为等差数列,并求{an}的通项公式;
(2)令bn=an•an+1,Tn=b1+b2+b3+…+bn,求证:Tn
4
15

查看答案和解析>>

科目:高中数学 来源: 题型:

已知数列{an}满足a 1=
2
5
,且对任意n∈N+,都有
an
an+1
=
4an+2
an+1+2

(1)求{an}的通项公式;
(2)令bn=an•an+1,Tn=b1+b2+b3+…+bn,求证:Tn
4
15

查看答案和解析>>

科目:高中数学 来源: 题型:

已知数列{an}满足a n+an+1=
1
2
(n∈N+)
,a 1=-
1
2
,Sn是数列{an}的前n项和,则S2013=
 

查看答案和解析>>

科目:高中数学 来源: 题型:

已知数列{an}:,,,…,,…,其中a是大于零的常数,记{an}的前n项和为Sn,计算S1,S2,S3的值,由此推出计算Sn的公式,并用数学归纳法加以证明.

查看答案和解析>>

同步练习册答案