精英家教网 > 高中数学 > 题目详情
已知函数f(x)=Asin(3x+ψ)(A>0,x∈(-∞,+∞),0<ψ<π)在x=时取得最大值4,
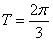
(Ⅰ)求f(x)的最小正周期;
(Ⅱ)求f(x)的解析式;
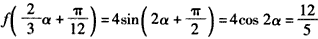
(Ⅲ)若,求sinα.
解:(Ⅰ)
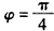
(Ⅱ)由题设可知A=4且
,得
∵0<ψ<π,


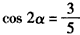
(Ⅲ)∵
,∴
练习册系列答案
相关习题

科目:高中数学 来源: 题型:

已知函数f(x)=a-
12x+1

(1)求证:不论a为何实数f(x)总是为增函数;
(2)确定a的值,使f(x)为奇函数;
(3)当f(x)为奇函数时,求f(x)的值域.

查看答案和解析>>

科目:高中数学 来源: 题型:

已知函数f(x)
a-x  ,x≤0
1  ,0<x≤3
(x-5)2-a,x>3
(a>0且a≠1)图象经过点Q(8,6).
(1)求a的值,并在直线坐标系中画出函数f(x)的大致图象;
(2)求函数f(t)-9的零点;
(3)设q(t)=f(t+1)-f(t)(t∈R),求函数q(t)的单调递增区间.

查看答案和解析>>

科目:高中数学 来源: 题型:

已知函数f(x)=a-
1
2x+1
,若f(x)为奇函数,则a=(  )
A、
1
2
B、2
C、
1
3
D、3

查看答案和解析>>

科目:高中数学 来源: 题型:

已知函数f(x)=
a(x-1)x2
,其中a>0.
(I)求函数f(x)的单调区间;
(II)若直线x-y-1=0是曲线y=f(x)的切线,求实数a的值;
(III)设g(x)=xlnx-x2f(x),求g(x)在区间[1,e]上的最小值.(其中e为自然对数的底数)

查看答案和解析>>

科目:高中数学 来源: 题型:

已知函数f(x)=a-
12x-1
,(a∈R)
(1)求f(x)的定义域;
(2)若f(x)为奇函数,求a的值;
(3)考察f(x)在定义域上单调性的情况,并证明你的结论.

查看答案和解析>>

同步练习册答案