精英家教网 > 高中数学 > 题目详情

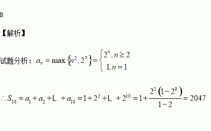
记实数中的最大数为,定义数列,则数列的前10项和为( )

A.2046 B.2047 C.2048 D.2049

练习册系列答案
相关习题

科目:高中数学 来源:2016年全国普通高等学校招生统一考试文科数学(全国1卷参考版) 题型:填空题

设向量a=(x,x+1),b=(1,2),且a b,则x= .

查看答案和解析>>

科目:高中数学 来源:2015-2016学年四川省成都市高二下入学考试理科数学试卷(解析版) 题型:填空题

底面是同一个边长为的正三角形的两个三棱锥内接于同一个球,它们顶点的连线为球的直径且垂直于底面,球的半径为。设两个三棱锥的侧面与底面所成的角分别为,则的值是

查看答案和解析>>

科目:高中数学 来源:2015-2016学年浙江省高一下3月联考数学试卷(解析版) 题型:解答题

中,角的对边分别为

(1)求角的大小;

(2)如果,求边长的值.

查看答案和解析>>

科目:高中数学 来源:2015-2016学年浙江省高一下3月联考数学试卷(解析版) 题型:填空题

三角形的一边长为14,这条边所对的角为60°,另两边长度之比为8:5则此三角形的面积为_____________

查看答案和解析>>

科目:高中数学 来源:2015-2016学年浙江省高一下3月联考数学试卷(解析版) 题型:选择题

一个蜂巢里有1只蜜蜂,第1天,它飞出去找回了3个伙伴;第2天,4只蜜蜂飞出去,各自找回了3个伙伴......如果这个找伙伴的过程继续下去,第6天所有的蜜蜂都归巢后,蜂巢中蜜蜂的总只数为( )

A.243 B.729 C.1024 D.4096

查看答案和解析>>

科目:高中数学 来源:2015-2016学年福建省厦门市高一下期初考试数学试卷(解析版) 题型:填空题

计算:= .

查看答案和解析>>

科目:高中数学 来源:2015-2016学年江西省抚州市高二3月月考文科数学试卷(解析版) 题型:解答题

中,内角所对的边分别为,且.

(1)求角的大小;

(2)如果,求面积的最大值,并判断此时的形状。

查看答案和解析>>

科目:高中数学 来源:2015-2016学年广东省高二下第一次月考文科数学试卷(解析版) 题型:解答题

,函数

(Ⅰ)若上单调递增,求的取值范围;

(Ⅱ)记上的最大值,求的最小值.

查看答案和解析>>

同步练习册答案