精英家教网 > 高中数学 > 题目详情

选修4-5:不等式选讲

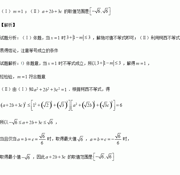
已知不等式的解集为

(Ⅰ)求的值;

(Ⅱ)若,求的取值范围.

练习册系列答案
相关习题

科目:高中数学 来源:2015-2016学年重庆八中高二下第三次周考文科数学试卷(解析版) 题型:选择题

如图是计算某年级500名学生期末考试(满分为100分)及格率的程序框图,则图中空白框内应填入( )

A. B. C. D.

查看答案和解析>>

科目:高中数学 来源:2015-2016学年天津市静海县六校高一下期中数学试卷(解析版) 题型:选择题

在等差数列中,为数列的前项和,则使的最小值为 ( )

A.66 B. 67 C. 132 D.133

查看答案和解析>>

科目:高中数学 来源:2016届山东省高三5月月考理科数学试卷(解析版) 题型:填空题

某多面体的三视图如图所示,其中俯视图为矩形,侧视图为直角三角形,该多面体的体积为___________.

查看答案和解析>>

科目:高中数学 来源:2016届山东省高三5月月考理科数学试卷(解析版) 题型:选择题

中,,且的面积为,则的长为( )

A. B.3 C. D.7

查看答案和解析>>

科目:高中数学 来源:2016届广东省高三5月测试文科数学试卷(解析版) 题型:解答题

如图,四棱锥,侧面是边长为的正三角形,且与底面垂直,底面的菱形,的中点.

(Ⅰ)求证:

(Ⅱ)求点到平面的距离.

查看答案和解析>>

科目:高中数学 来源:2016届广东省高三5月测试文科数学试卷(解析版) 题型:选择题

已知函数,对区间上的任意,且,都有成立,则实数的取值范围为( )

A. B. C. D.

查看答案和解析>>

科目:高中数学 来源:2016届广东省高三5月测试理科数学试卷(解析版) 题型:解答题

在三棱柱中,底面为正三角形,

(Ⅰ)求证:

(Ⅱ)把四棱锥绕直线旋转一个角到,使平面重合,求该旋转角的余弦值.

查看答案和解析>>

科目:高中数学 来源:2015-2016学年安徽六安一中高二下开学考试数学试卷(解析版) 题型:解答题

已知抛物线的焦点为与椭圆的一个焦点重合,且抛物线的准线与椭圆相交于点.

(1)求抛物线的方程;

(2)过点是否存在直线与椭圆交于两点,且以为对角线的正方形的第三个顶点恰在轴上?若存在,求出直线的方程;若不存在,请说明理由.

查看答案和解析>>

同步练习册答案