精英家教网 > 高中数学 > 题目详情

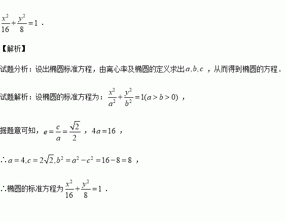
在平面直角坐标系中,椭圆的中心为原点,焦点轴上,离心率为,过点的直线交椭圆两点,且的周长为16,求椭圆的标准方程.

练习册系列答案
相关习题

科目:高中数学 来源:2015-2016学年辽宁省高二上期中理科数学试卷(解析版) 题型:选择题

分别为双曲线的左、右焦点.若在双曲线右支上存在点,满足,且到直线的距离等于双曲线的实轴长,则该双曲线的渐近线方程为 ( )

A. B.

C. D.

查看答案和解析>>

科目:高中数学 来源:2015-2016学年湖南师大附中高二上第二次段测文科数学卷(解析版) 题型:选择题

“x>a”是“x>-1”成立的充分不必要条件,则( )

A.a的值可以是

B.a的值可以是-1

C.a的值可以是-2

D.a的值可以是-3

查看答案和解析>>

科目:高中数学 来源:2015-2016学年河北省高二上期中理科数学试卷(解析版) 题型:选择题

在复平面内复数(a>0),已知=( )

A.i B.-i C.-1 D.1

查看答案和解析>>

科目:高中数学 来源:2015-2016学年贵州省凯里市高二上期末文科数学试卷(解析版) 题型:解答题

在平面直角坐标系中,椭圆的中心为原点,焦点轴上,离心率为,过点的直线交椭圆两点,且的周长为16,求椭圆的标准方程.

查看答案和解析>>

科目:高中数学 来源:2015-2016学年广东汕头金山中学高二上12月考理数学卷(解析版) 题型:解答题

如图,在四面体ABCD中,已知∠ABD=∠CBD=60°,AB=BC=2,

(1)求证:AC⊥BD;

(2)若平面ABD⊥平面CBD,且BD=,求二面角C﹣AD﹣B的余弦值.

查看答案和解析>>

科目:高中数学 来源:2015-2016学年四川省高一上期中数学试卷(解析版) 题型:选择题

给出函数,则等于( )

A. B. C. D.

查看答案和解析>>

科目:高中数学 来源:2014-2015学年江西省高一下学期期中数学试卷(解析版) 题型:解答题

已知数列为等差数列,其中

(1)求数列的通项公式;

(2)若数列满足为数列的前项和,当不等式)恒成立时,求实数的取值范围.

查看答案和解析>>

科目:高中数学 来源:2015-2016学年吉林省高二上期中文科数学试卷(解析版) 题型:解答题

已知椭圆的离心率为是椭圆的左焦点.

(1)求椭圆的方程;

(2)若直线与椭圆相交于不同的两点.且线段的中点在圆上,求的值.

查看答案和解析>>

同步练习册答案