精英家教网 > 高中数学 > 题目详情

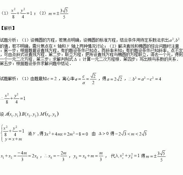
已知椭圆的离心率为是椭圆的左焦点.

(1)求椭圆的方程;

(2)若直线与椭圆相交于不同的两点.且线段的中点在圆上,求的值.

练习册系列答案
相关习题

科目:高中数学 来源:2015-2016学年贵州省凯里市高二上期末理科数学试卷(解析版) 题型:解答题

在平面直角坐标系中,椭圆的中心为原点,焦点轴上,离心率为,过点的直线交椭圆两点,且的周长为16,求椭圆的标准方程.

查看答案和解析>>

科目:高中数学 来源:2016届广西河池高中高三上第五次月考理科数学试卷(解析版) 题型:解答题

已知椭圆的两个焦点分别为,过点的直线与椭圆相交于两点,且

(Ⅰ)求椭圆的离心率;

(Ⅱ)求直线的斜率.

查看答案和解析>>

科目:高中数学 来源:2015-2016学年河北冀州中学高二上第三次月考理科数学卷(解析版) 题型:解答题

在平面直角坐标系中,为坐标原点,已知曲线上任意一点(其中)到定点

的距离比它到轴的距离大1.

(1)求曲线的轨迹方程;

(2)若过点的直线与曲线相交于A、B不同的两点,求的值;

(3)若曲线上不同的两点满足,求的取值范围.

查看答案和解析>>

科目:高中数学 来源:2015-2016学年辽宁省高二12月月考理科数学卷(解析版) 题型:填空题

已知函数f(x)的导函数为f ′(x)=5+cosx,x∈(-1,1),且f(0)=0,如果f(1-x)+

f(1-x2)<0,则实数x的取值范围为________.

查看答案和解析>>

科目:高中数学 来源:2015-2016学年宁夏石嘴山三中高一上期中数学试卷(解析版) 题型:解答题

已知函数,若函数的最小值是且对称轴是

(1)求的值;

(2)在(1)条件下求在区间 的最小值.

查看答案和解析>>

科目:高中数学 来源:2015-2016学年宁夏石嘴山三中高二上期中文科数学试卷(解析版) 题型:填空题

以椭圆的焦点为顶点,顶点为焦点的双曲线方程为

查看答案和解析>>

科目:高中数学 来源:2015-2016学年江西省高二上第一次段考文数学卷(解析版) 题型:选择题

数列中,,则使为整数的的取值可能是( )

A、 1022 B、1023 C、1024 D、1025

查看答案和解析>>

科目:高中数学 来源:2015-2016学年江苏省淮安市高二上学期期中考试数学试卷(解析版) 题型:解答题

如图,矩形ABCD的两条对角线相交于点M(3,5),AB边所在直线的方程为,点N(0,6)在AD边所在直线上.

(1)求AD边所在直线的方程;

(2)求对角线AC所在直线的方程.

查看答案和解析>>

同步练习册答案