精英家教网 > 高中数学 > 题目详情

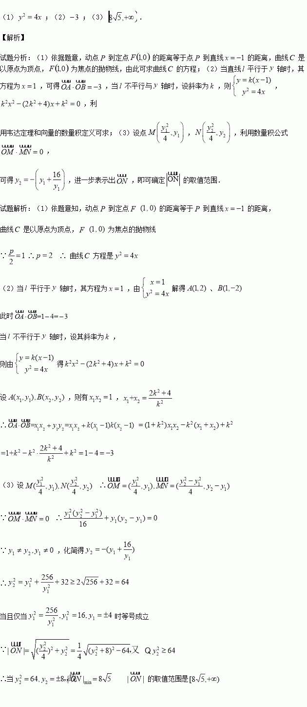
在平面直角坐标系中,为坐标原点,已知曲线上任意一点(其中)到定点

的距离比它到轴的距离大1.

(1)求曲线的轨迹方程;

(2)若过点的直线与曲线相交于A、B不同的两点,求的值;

(3)若曲线上不同的两点满足,求的取值范围.

练习册系列答案
相关习题

科目:高中数学 来源:2015-2016学年河北省高二上期中理科数学试卷(解析版) 题型:选择题

在复平面内复数(a>0),已知=( )

A.i B.-i C.-1 D.1

查看答案和解析>>

科目:高中数学 来源:2014-2015学年江西省高一下学期期中数学试卷(解析版) 题型:解答题

已知数列为等差数列,其中

(1)求数列的通项公式;

(2)若数列满足为数列的前项和,当不等式)恒成立时,求实数的取值范围.

查看答案和解析>>

科目:高中数学 来源:2016届广西河池高中高三上第五次月考理科数学试卷(解析版) 题型:选择题

函数的定义域是( )

A.

B.

C.

D.

查看答案和解析>>

科目:高中数学 来源:2016届宁夏银川一中高三上学期第四次月考理科数学试卷(解析版) 题型:解答题

等差数列{an}的各项均为正数,a1=3,前n项和为Sn,{bn}为等比数列,b1=1,且b2S2=64,b3S3=960.

(1)求an与bn;

(2)求+…+

查看答案和解析>>

科目:高中数学 来源:2015-2016学年辽宁省高二12月月考理科数学卷(解析版) 题型:解答题

已知函数的图象过坐标原点,且在点处的切线的斜率是

(Ⅰ)求实数的值;

(Ⅱ)求在区间上的最大值;

(Ⅲ)对任意给定的正实数,曲线上是否存在两点,使得是以为直角顶点的

直角三角形,且此三角形斜边中点在轴上?说明理由.

查看答案和解析>>

科目:高中数学 来源:2015-2016学年吉林省高二上期中文科数学试卷(解析版) 题型:解答题

已知椭圆的离心率为是椭圆的左焦点.

(1)求椭圆的方程;

(2)若直线与椭圆相交于不同的两点.且线段的中点在圆上,求的值.

查看答案和解析>>

科目:高中数学 来源:2015-2016学年宁夏石嘴山三中高二上期中理科数学试卷(解析版) 题型:解答题

已知命题:方程表示焦点在轴上的椭圆;命题:点在圆内.若为真命题,为假命题,试求实数的取值范围.

查看答案和解析>>

科目:高中数学 来源:2015-2016学年江苏省泰兴市高一上学期期中考试数学试卷(解析版) 题型:解答题

,函数

(Ⅰ)若,求不等式的解集;

(Ⅱ)若在[0,1]上的最大值为,求的范围;

(Ⅲ)当时,对任意的正实数,不等式恒成立,求实数的取值范围.

查看答案和解析>>

同步练习册答案